A Quiet Revolution in Welfare Economics- by Michael Albert and Robin Hahnel



9.3.1 Discovering the Technical Coefficients of Production

The method of "material balances" has been the most common way of gathering information in the actual practice of central planning, though it is least interesting from our point of view, because irrespective of some of its practical advantages, it is demonstrably inefficient. Various iterative procedures involving trial prices, trial quantities, and a gradient search are more theoretically interesting because they can provide sufficient information for the Central Planning Board to calculate an efficient plan under specified conditions, assuming the Central Planning Board knows the social welfare function. We now consider these methods in turn.


Material Balances. As Benjamin Ward explains:

The planning bureau starts with a known bill of final demands for each sector. Its task is to find a bill of gross outputs for each sector which is consistent with this bill of final demands and with the production technology. The procedure is as follows:

1. The bureau reports to each sector its corresponding final demand.

2. Each sector calculates its input requirements if it is to produce this final demand. To do this it simply multiplies each coefficient in its column of A [the input-output matrix for the economy] by the final demand. [He assumes that each sector knows its own technology, that is, its own column in A, but no other columns; and that the Central Planning Board does not know any of the columns at all.] The results are reported to the bureau.

3. The bureau adds the input requirements for each good in each sector together and reports these to the sectors as additions to the previously assigned output level [the final demands in the first round].

4. The process continues until further additions to requirements become insignificant. The bureau then takes its total requirements for each sector as the desired plan and assigns these as production targets to the individual sectors. 11

Ward observes that "this process is equivalent to the power series expansion solution to a system of linear equations" and that "the process converges for reasonable technologies." 12 But whereas "the calculations are extremely simple," and "a minimal amount of communication is involved ... .. the scheme is inflexible (in that) there are assumed to be no technological options for the sectors," "no account is taken of limitations on the attainable level of production," and most importantly, "there is no optimizing (since) the final demands are given a priori, and opportunities that may exist for achieving higher performance levels are ignored." 13

In conclusion, the method of material balances allows the Central Planning Board to come up with a plan without knowing in advance the production technologies of any of the individual sectors. And in this process the Central Planning Board certainly comes to know the matrix of input-output coefficients for the economy. But regardless of some of the practical advantages discussed above and others pointed out by J. M. Montias in his original analysis, 14 the process is not efficient. It is unable to allow for alternative technological processes within the sectors and for substitution between different goods in the bill of final demands in light of production possibilities. It remains, however, the most common way of planning in centrally planned economies. 15

Trial Prices. Danzig and Wolfe 16 were the first to propose an iterative procedure where "the center proposes tentative resource prices, theproducing units develop corresponding profit-maximizing production programs (with prices treated parametrically)," 17 and the center then proceeds to revise its proposed prices in light of the production programs received. An optimal solution to the economic programming problem can be reached using this procedure although it is necessary to assume that there are no technological externalities, that all constraints are linear, both at the level of single production units and at the overall level of the economy, and that "the objective function and the overall constraints are 'additively separable."' 18 It is because of the assumed linearity of individual unit constraints that the units can use linear programming techniques to solve the "primal" problems posed to them at each iteration by the Central Planning Board. And it is because of the assumed linearity of economy wide resource constraints that the Central Planning Board can use linear programming techniques to solve the "dual" problems posed at each successive iteration. The presumed absence of externalities and assumption of "additive separability" guarantees that the equilibrium reached in a finite number of steps will be an economy wide optimum.

Baumol and Fabian 19 extended Danzig and Wolfe's procedure "to situations where constraints pertaining to single producing units are nonlinear, while the overall constraints pertaining to resources needed by all units remain linear." 20 Obviously, the individual units can no longer use any of the wellknown algorithms for solving linear programming problems, but must instead use some effective algorithm for solving nonlinear programming problems to calculate their individual production plans at each iteration.

However, the best-known procedure for arriving at an optimal production plan through the use of trial prices is that of Malinvaud. 21 In Malinvaud's procedure:

the center proposes prices to the producing units which, in turn, determine production plans maximizing the value of the firm's output in terms of those prices. The center then builds up its picture of each unit's production set by taking all convex mixtures of its previous proposed input-output vectors, together with the initial feasible vector, assumed known to the center .... Treating its pictures of the production sets as if they were the actual sets, the center then maximizes its utility function subject to the resource availability constraint and proposes a new set of prices corresponding to the relevant marginal rates of substitution. 22

In this manner the Central Planning Board can formulate an optimal plan under the following conditions:

the bureau knows the set X of acceptable final consumption, the vector representing available resources, and the utility function u(x) [which is what we have called the social welfare function]; but ... it does not know a priori the specifications of the sets Yk (the production possibility sets for the individual production units). On the other hand, firm k has perfect knowledge of its own set of technical possibilities Yk, but does not know the sets which apply to other firms; nor the set X, the [resource] vector, or the function u(x). 23

The assumptions necessary are that the individual production sets are closed, bounded, and convex; the set X is closed, convex, and bounded from below; the function u(x) is continuous and concave; and the planning bureau knows a feasible program to begin with. Under these conditions, Malinvaud's procedure of trial prices yields a feasible plan at every iteration, is "well defined," "monotonic," and "convergent." "Well defined," meaning that "there always exist solutions to the operations according to which the firms' proposals, the prospective indices, and the plan can be determined" 24 yielding a feasible program. "Monotonic," meaning that the value of the social welfare function is never lowered in any successive iteration. And "convergent," meaning that as the iterations increase indefinitely the value of the social welfare function "tends to the value u*, the least upper bound of u(x) over the set of feasible programmes." 25

Trial Quantities. Kornai and Liptak make very similar assumptions concerning the economy as in the Danzig and Wolfe model, namely that there is "block angularity," or subsets of constraints each pertaining to a given sector, as well as resource constraints affecting the whole economy. 26 In the Kornai and Liptak procedure, however, the kind of proposals made by the center and the units are reversed.

In the dialogue, the center proposes allotments of scarce resources to the various sectors: then each sector responds with shadow prices (marginal rates of substitution) minimizing the value of the allotment subject to sectoral dual constraints (nonprofit condition for every sectoral activity). The center's aim, on the other hand, is to maximize the contributions of the sectors to the objective function, i.e., to maximize the value of the allocated resources at the shadow prices received from the sectors, subject to the limitation of available resource totals. 27

Although Kornai and Liptak are able to establish convergence to an equilibrium with any desired degree of accuracy by structuring the dialogue as a fictitious game, they are not able to guarantee that the equilibrium will be achieved in a finite number of steps; nor is their procedure completely informationally decentralized "since each sector's resource sectoral allotments must be large enough ('evaluable') to assure the existence of a feasible solution for that sector."28

A number of other "quantity-guided" procedures are designed specifically for nonlinear economies. One of S. A. Marglin's 29 mechanisms requires "the center to allocate the scarce resources on the basis of information obtained from the producing units concerning their marginal productivities and their excess demands, adjustment ceasing when aggregate excess demand is zero and the marginal productivities of producers are equalized." 30 G. M. Heal developed a similar process in which the Central Planning Board proposes an allocation of inputs amongst firms, and these latter respond by informing it of the outputs that these would make possible, and of the marginal productivities of the inputs at this allocation. In the light of this data the Central Planning Board proposes a new allocation of inputs in which, by comparison with the previous one, resources have been shifted towards the uses where they are most marginally productive, and away from those where their marginal contribution is least. 31

Heal's first procedure (1969) is capable of handling both intermediate goods and joint products. Dreze and de la Vallee Poussin 32 and Malinvaud 33 also developed "quantity-guided" procedures that are interesting in their ability to handle mixtures of public and private goods. Weitzman developed a quantityguided procedure that is a sort of dual to that of Malinvaud.

While Malinvaud's center is rather timid and only considers plans known to be feasible for the units, Weitzman's central planning agency constructs imaginary production sets it knows to be too ambitious, formulates targets that are, in general, infeasible and then lets the units scale down the proposals to feasible levels .... Convergence is assured (even in a finite number of steps when the production sets are polyhedral).' 34

Whereas the procedures of Marglin, Heal (1969), and Dreze and de la Vallee Poussin all maintain feasibility, are convergent, and monotonic, Malinvaud's "quantity-guided" mechanism (1970) does not maintain feasibility or monotonicity, and Weitzman's procedure fails to maintain feasibility. Finally, none of the procedures that are of a pure "price-guided" or pure "quantityguided" variety are applicable in cases where individual production units' possibility sets are nonconvex and are specifically not applicable in the presence of increasing returns to scale. This is not the case with some of the procedures that mix price-guidance with quantityguidance discussed next.

Mixtures of Price-Guidance and Quantity-Guidance. In 1971 Heal described a procedure using mixed price and quantity guidance that "locates a local maximum of the objective function even in the presence of increasing returns to scale, that satisfies Malinvaud's feasibility and monotonicity criteria, and has some of the informational economy of price-guided procedures." 35 The "essential informational feature" of Heal's second procedure "is that certain functions of each producing unit's marginal productivities (roughly, its shadow prices for particular resources) must be conveyed to the center." But whereas in Heal's first mechanism the center's only response was to "calculate improved resource allotments" and issue them as new trial quantities, in his second method the center may also "calculate and send to the units a resource price (the same for all units) and so enable them to determine their respective resource requirements." 36 This added flexibility at the center, combined with a procedure requiring agents in the economy "only to raise rather than maximize the magnitudes in which they are interested (is what) gives ... the procedure added stability and allows it to converge to an optimum even in the presence of increasing returns." 37

The interesting feature of Aoki's 38 procedure is that it can handle mixtures of private and public goods by using "price-guidance for private goods and quantity-guidance for public goods." In Aoki's procedure, producers

develop production plans that maximize net revenue given the central "guidelines" (prices for the private goods and quantities for the public goods), and convey to the center their demands for private goods and marginal evaluations, including marginal cost, for public goods. The center, in turn, adjusts the price of each private good according to the difference between its marginal utility and price .... The targets for public goods are increased in proportion to the net aggregate of marginal valuations (users' minus producers'). 39

Gradient Procedures. We conclude with a brief description of a particular kind of price-guidance, gradient procedures. For a linear economy, Koopmans 40 described an allocation game to be played ... by a helmsman (setting the prices of final goods) ... commodity custodians (adjusting the prices of resources according to excess demand), and activity managers who determine the production programs. Koopman's adjustment rule ... is that managers expand profitable activities and curtail those bringing losses. 41

Unfortunately, Samuelson 42 demonstrated that this procedure yields nonconvergent results in constant returns economies. But

in an economy where all functions (including the utility indicator) are strictly concave (i.e., we have diminishing returns) similar rules produce a process with the desired stability properties. Utilizing the notion of gradient approach to the saddle point of the Lagrangian expression, Arrow and Hurwicz (1960) 43 used the following rules: the helmsman, taking the prices of desired commodities as given, changes each final demand at a rate equal to the difference between its marginal utility and price; each manager, again taking prices as given, changes the scale of his process in proportion to its marginal profitability; each commodity custodian varies the price of his commodity in proportion to excess demand.44

Although this gradient process converges to an optimum, the strict concavity assumptions are critical, and none of the intermediate plans are feasible. The original gradient process of Arrow and Hurwicz was formulated in continuous time, but Uzawa 45 constructed a discrete time parameter counterpart that overcame this undesirable feature of the ArrowHurwicz process.

Summary of Information Gathering Procedures. We have gone to great lengths to describe different ways in which a Central Planning Board might arrive at an optimal plan without being aware, initially, "of all the information needed for a perfect description of techniques, [since] only the individual firms ... can have precise knowledge of the conditions governing production in their particular field" for three reasons. Our immediate purpose was to demonstrate that this particular kind of information problem, often referred to in the "modern debate" over the efficiency of central planning, can be overcome, at least in theory. Although the particular assumptions necessary for the application of the different procedures are far from totally realistic, the widening of the set of procedures to meet situations ever farther from "classical" conditions is sufficiently impressive, in our opinion, to conclude that technical information problems should no longer be considered theoretical obstacles to the efficiency of central planning. The criticism was well taken when material balances was the only known method for generating the central plan, but this is no longer the case.

However, these technical procedures for solving the "information problem" of transferring knowledge of local productive potentials to the Central Planning Board suggest an associated "incentive problem." Are there incentives for managers to report truthfully or not? The above procedures simply assume truthful reporting. A primary concern of the "modern" form of the traditional debate is examination of this assumption. We offer only limited observations on this subject since our primary concern with central planning lies elsewhere.

1. There certainly appear to be incentives for managers to lie about unit capabilities in order to influence the production targets and input allocations they receive and, thereby, their possibilities of winning reward and avoiding punishment. In our view, recent attempts to treat this issue as the most important "principal-agent" problem in centrally planned economies are right on the mark. 46 And ample evidence in 47 the historical literature supports claims of incentives to misinform.

2. But the incentive for management to dissimulate to "higher authorities" is not unique to centrally planned economies. As Pak-Wai Liu observed, "The nature of the problem of the socialist planner in motivating and rewarding socialist managers ... bears much similarity to the problem of motivating branch or divisional managers of a capitalist corporation." 48 Moreover, it is not obvious that the problem is structurally any different from the problem stockholders in PrEMEs have knowing whether the managers they hire are really maximizing profits. Is there an incentive for managers of privately owned enterprises to "downplay" potentials and expectations to stockholders in order to enhance their rewards and avoid punishment?

3. It would appear the outcome of the central planning principal-agent modeland in particular the accuracy of information transferredshould depend on the ability of the central planners: (a) to punish or reward managers for the veracity of information provided, and (b) to judge the veracity through either independent investigation or "competitive" comparison with similar units. Regarding rewards and punishments, there need be no problem in theory. Regarding comparative evaluation, central planners are not altogether without means.

4. Whether or not central planners are in a less advantageous position than superiors to local management in other kinds of economies to elicit accurate information, and exactly why and to what extent this may be the case, is under active investigation. We remain "agnostic" to date.

In any case, we went to such lengths to discuss information eliciting procedures for two reasons beyond demonstrating that, at least theoretically, matters have progressed considerably beyond material balances. First, in a later section of this chapter we will return to an analysis of the cybernetic properties of central planning from the point of view of the new welfare theory developed in chapter 6. In that context it will prove very useful to have at least a moderately detailed understanding of the informational procedures that have been formalized to date. Second, in our concluding chapter we assert the need to devise a new, decentralized planning procedure, different from both market and centrally planned allocation. And while none of the above procedures for consolidating information in the hands of central planners can be adopted "as is" for decentralized planning, we believe they contain useful ideas for developing procedures appropriate for participatory planning.


9.3.2 In Search of the Social Welfare Function

In the previous section we discussed a number of ways a Central Planning Board could calculate a central plan without knowing the productive capabilities of production units in advance, but we assumed throughout that central planners at least knew the social welfare function (or what was often referred to in the literature as the "utility function"). As Malinvaud stated explicitly:

I shall not consider the problems which may be posed in defining the collective choices to be made; these choices will be represented here by a utility function which is known by the central agency. 49

We now turn to how a central agency might come to know the social welfare function. We discuss three different approaches, but we might note in advance that at least one method leaves centrally planned economies with as much claim to Pareto optimality as either private or public enterprise market systems-provided we use traditional welfare theory as our basis for judgment and confine our attention to traditional concerns.

Authoritarian Political Determination. Joseph Stalin or Mao Tsetung might know what is best for the people of their societies. They might know which economic activities are most fulfilling to the citizens, which economic activities develop people's capacities best for greater fulfillment in the future, which economic activities generate "socialist citizens," or "communist men," etc. And they might have sufficiently detailed knowledge in all these regards to be able to set down a quantitative function relating all these different fulfillment, development, and political effects. We are not suggesting that Mao ever considered himself capable of such a heroic feat, but it is one possible way that the Central Planning Board could obtain the social welfare function; it could be handed to the central planners by a maximum leader. Or, the social welfare function could be elaborated in a more subtle process by a "collective" political leadership such as a politburo, or central committee, or an entire vanguard political party. In any case, one approach is to obtain such a function from some such group of Revolutionary Philosopher Kings.

Market Determination. In our description of how the optimal bill of final goods might be distributed to particular individuals, we described how retail outlets might be established, individuals given currency with which to buy goods, and prices set by retail managers to eliminate excess demands or supplies.

In essence, a centrally planned economy can resort to the "revealed preferences" of individuals in the marketplace to determine the social welfare function. Central planners need simply use the most recent relative prices from the retail outlets (and banks) as the relative social valuations of different final goods (and time) in society's social welfare function. With this method of determining relative weights to be given different final goods (and times) in the social welfare function, a centrally planned -conomy would exhibit the property known in traditional welfare theory as "consumer sovereignty." Of course, if different individuals entered the retail outlets and banks with different amounts of currency, the result would be different than if everyone had the same number of "dollar votes." But the resulting social welfare function, when successfully maximized by the Central Planning Board, would yield a Pareto optimum no matter what the distribution of currency.

If different kinds of labor activities were considered to be welfare significant, one would have to establish a market in labor services to use differential market wage rates as weights for different work activities in the social welfare function. But again, we have already described how such a market could be arranged.

The first system of labor markets we discussed, 3a, is obviously not such a solution since in 3a wage rates can be arbitrary. System 3a assumes the central planners already have the weights, which they combine with the constraints when they solve the planning problem yielding shadow prices for different labor activities as part of the solution to the dual, which the Central Planning Board may or may not choose to use.

But either of the other two labor market systems, 3b or 3c, in which personnel departments hire out of a wage fund allocated by the Central Planning Board, could be used to generate weights incorporating differential disutilities of different kinds of labor in the social welfare function. Moreover, this method of determining the relative weights assigned to different kinds of labor exhibits the property known in traditional welfare theory as "producer sovereignty."

In any case, determination of the social welfare function through revealed preferences in the markets for final goods and labor services places central planning on the same exalted pedestal that private enterprise competitive market economies have long occupied, at least according to traditional welfare theory. That is, a centrally determined plan can be a Pareto optimum. 50

Political Determination by Voting.

A final way to arrive at society's social welfare function would be for every citizen to vote for the weights to be assigned to final goods and labor activities. Each citizen could be given, say, 1000 points to distribute among arguments in the social welfare function. Or, as in the case of market determination, different citizens could be given different numbers of points to vote (according to their highest degree earned, IQ, hair color, etc.). In any case, points voted would be tallied by the Central Planning Board, and the sum of points voted for each good or work activity would be used as its weight in the social welfare function. 51 We leave discussion of the advantages and disadvantages of democratic voting procedures for estimating the social welfare function to a later section.

 

9.3.3 Material Incentives for Carrying Out the Plan

It has been argued that in well-run, public ownership, centrally planned economies since no capitalists exploit workers, since the central plan maximizes social well-being if all carry out their assignments, and since the distribution of work assignments and consumption benefits is just, no incentives beyond enlightened self-interest are needed. Again, we defer discussion of the extent to which all this might or might not be plausible to a later section. But suppose-for purposes of concluding the "old debate" from the point of view of traditional welfare theory, and in line with practical experience-that enlightened self-interest and solidarity were not sufficient incentives to bring a centrally calculated plan to fruition. Are other means available to centrally planned economies to motivate compliance with targets and work assignments?

There is no reason centrally planned economies cannot use the same kind of material incentives that are presumed sufficiently motivating to bring PrEMEs to Pareto optimality . In a centrally planned system with markets for labor and final goods, workers would have the same material interests to carry out production tasks as workers do in PrEMEs. If personnel departments included some form of bonus system in the labor contract, workers in centrally planned systems might even come' to have material interests closely approximating those of workers with stock ownership plans, or workers in PuEEMMEs!

As far as managers of production units are concerned, the problem as we discussed previously of establishing incentives for them to perform in accord with Central Planning Board criteria is theoretically no different from the problem of motivating branch managers within privately owned corporations, or the problem stockholders have getting CEOs of privately owned firms to behave in accord with stockholders' criteria, or, for that matter, the problem a workers' council has getting managers they hire to behave in accord with the council's criteria. In all cases the possibilities of material rewards, bonuses, fringe benefits, and advancement in the managerial hierarchy, are all available, as are the same set of material punishments, pay cuts, elimination of perquisites, demotion, and firing. All three economies-PrEMEs, PuEMEs, and PuECPEs-embody similar problems of determining the extent to which managers are doing the best possible job of maximizing their superiors' criteria. Contrary to popular opinion, we see nothing inherent in central planning making "accountability problems" more serious than in other economies we have analyzed, and the most recent literature applying principalagent theory to central planning environments cited earlier appears to be confirming this opinion.

To summarize: one kind of incentive problem is how "superiors" are to get "subordinates" to carry out superiors' wishes. Whether superiors are stockholders and subordinates managers (PrEMEs), or superiors are CEOs and subordinates division managers (PrEMEs), or superiors are central planners and subordinates unit managers (PuECPEs), or superiors are employees in a council and subordinates managers (PuEEMMEs) or superiors are in a central bureaucracy and subordinates are state-appointed plant managers (PuESMMEs) or superiors are managers and subordinates are workers (any of the economies we have considered); the problem is to induce subordinates to "execute" superiors' "goals." What we have discussed in this section are conceivable incentives superiors in centrally planned economies might use to hold their subordinates "accountable," and we have concluded that the same range of "material incentives" presumed to guarantee accountability in the other economies we have discussed is available to central planners as well. A different kind of incentive problem is how "superiors" can elicit information from "subordinates" about subordinates' true capabilities when subordinates know something about this their superiors may not. This is also not a problem unique to central planning, although it may have more far-reaching implications in centrally planned economies than in others. In any case, in the context of central planning the "information" incentive problem is logically prior to the "accountability" incentive problem because the first involves calculating an optimal plan and the second involves getting people to execute the plan. But while logically prior, information incentives are not logically separable from accountability incentives, which poses difficulties others have pointed out and we are by no means oblivious to. Just as work by Western economists in the early 1970s on iterative planning pointed the way for how central planners might gather information on unit capabilities, work by Western economists on the principalagent relationship in the 1980s is shedding light on incentive schemes to induce unit managers to "play" interactive planning games truthfully.

Finally, to argue that central planning lacks the "disciplining force" of unemployment is to forget the full employment context in which we have been discussing market systems and to underestimate the flexibility of central planning. In real world market economies a certain probability of unemployment exists. But we have been discussing the optimality properties of market economies in general equilibria. Neither private enterprise nor public enterprise market economies have any claim to efficiency whenever any of their markets fail to clear-the labor market hardly being an exception. In equilibria market economies do not have the disciplining force of unemployment any more than full employment versions of central planning do. Moreover, there is no reason a Central Planning Board could not "plan" to create a "reserve army of the unemployed" for motivational purposes should it be deemed necessary. 52

 

9.3.4 Summary of the "Modern Debate" 

The neoclassical economist who has "broken out of his traditional limits" and "enlarged his field of vision ... to avoid a narrow focus on the status quo, whether East or West,' 53 may think of himself or herself "as taking part in a contest to design a 'superior' mechanism." 54 For an economist such as Leonid Hurwicz the name of the game is still to evaluate what he terms different possible "economic mechanisms" from the perspective of traditional welfare theory. But he is willing to go beyond the "cease search" sign in front of PrEMEs to give equal consideration to variants of public enterprise market economies and different planning schemes as well.

In this more refreshing but still traditional context, we have argued that, in theory, when all complications are assumed away, publicly owned, centrally planned economies can lay equal claim to efficiency as can privately or publicly owned competitive market economies. Moreover, the much discussed problems of gathering technological data, estimating a social welfare function, and providing sufficient incentives to carry out the central plan are far less intractable, at least in theory, than usually assumed. In fact, if one weighs the practical limitations on the different procedures discussed above, including the possibilities of self-interested concealment of information in those procedures, against the difficulties of hopping from general equilibrium to general equilibrium infinitely quickly in market economies and the analogous information and incentive problems that are present in private and public enterprise market economies as well, one might conclude-if one were an economist such as Leonid Hurwicz-that the efficiency-oriented economist's dream just may lie closer to a PuECPE than either a PuEME or PrEME!

At any rate, that is the case we have attempted to present in order to demonstrate that even if this were all true--even if central planning won the traditional welfare theory sweepstakes, or came in a "dead heat - it is still an economy inherently incapable of collecting and dispersing economic information, organizing productive roles, and estimating relative social values in ways that maximize human fulfillment and development.

 


9.4 Round Three: The "New Debate" 

It is finally time to reexamine the different procedures for generating a central plan from the perspective of the information goals indicated by the welfare theory developed in chapter 6. To give central planning every possible benefit, let us assume that price-guided, quantity-guided, mixed price and quantity-guided, and/or gradient procedures are completely successful in allowing the central planning agency to acquire all information concerning technical possibilities of production. What is the nature of the information consolidation and dispersion patterns they generate in the process of plan formulation?

 

9.4.1 Central Planning as a Cybernetic Disaster

The cybernetic essence of Malinvaud's price-guided mechanism (1967) is that "the information concerning the production functions (of the individual units) is being transferred to the center, although on an installment plan.' 55 The Central Planning Board is gathering ever more information about production possibility sets of individual units by issuing prices and receiving feasible production plans that maximize the value of the firm's net output in terms of those prices. The Central Planning Board retains unit responses and formulates an ever more accurate picture of individual units' production possibility sets by forming the convex hull of all previous proposals. The only difference between Malinvaud's procedure and other price-guided mechanisms 56 is that Malinvaud's Central Planning Board must retain and utilize all previous information about units to calculate its next set of trial prices. In the case of other price-guided mechanisms, the Central Planning Board receives similar responses from units with which it could generate an ever more accurate image of the units' possibility sets, but the center does not need to retain and use past information to calculate its next proposal.

So the information consolidation and dispersion effects for all priceguided mechanisms, including gradient procedures, is essentially the same; information about individual units' technical production possibilities is transfered piece-meal to the center, while the extent to which units receive information about the rest of the economy is limited to a series of price vectors, giving them no more information than units receive in market economies, whose cybernetic inadequacies we discussed in chapter 7. In Malinvaud's scheme, the Central Planning Board must retain all information and construct ever more accurate images of units' technical possibilities. In other procedures, this information could be thrown away. But in any case, information centralization (or potential centralization) is the essence from a cybernetic point of view.

As we explained earlier, assuming that a group of workers, i, "sees" { A(i,t) } with all its material and human inputs, outputs, and characteristic transformations, to understand how their activity fits with the activity of others they need a vivid picture of all { A(j,t)} )

for all j ¹ i and t = 0, 1,...T, where the human inputs and outputs of the other processes are particularly crucial to understand. We already explained how information conveyed by a price vector is insufficient to permit members of different groups to achieve this understanding. Price vectors do not explain how the activities of others define what is possible for one to do, nor how one's choices affect the possibilities of others thereby weakening each group's ability to exercise self-management and develop solidarity with others. Since this is the total information provided units under price-guided central planning, the same criticism made of market systems applies here as well.

It is important to notice that price-guided central planning does not even fully inform the Central Planning Board concerning all critical aspects of economic potentials and activities. Information accumulated in Malinvaud's scheme (or that could be accumulated in the other price-guided mechanisms) is entirely technical. There is no communication regarding many of the human inputs and outputs of units' proposals, and none whatsoever regarding the transformation of human state variables. In other words, the so-called "production possibility sets," { Y(i,t)} )the Central Planning Board estimates with greater and greater precision, are woefully inadequate subsets of the full human productive activity sets, { A(i,j)} which are necessary if the Central Planning Board is to understand the full implications of its decisions.

But the cybernetic qualities of quantity-guided mechanisms are even worse when viewed from the perspective of the new welfare theory. As a kind of dual of Malinvaud's 1967 mechanism, Weitzman's quantity-guided procedure is the most instructive to analyze in detail. In his own words:

the approach taken ... views the planning procedure as a learning process whereby the center iteratively comes to understand more and more exactly the relevant parts of the production possibility sets without ever requiring any firm to transmit the entire set.57

It follows that the information consolidation process is the exact equivalent of the one discussed previously. The Central Planning Board develops an ever more accurate image of the technical possibilities of the units, although in this case the learning process entails scaling down infeasible productions to feasible ones, rather than expanding an initial feasible production possibility into the set of all feasible productions. But the understanding the center develops is still entirely technical and highly limiting as discussed above.

On the other hand, the information dispersed from the center gives individual units even less idea how they are connected to the rest of the economy. The units do not receive a series of price vectors transmitting some notion of the comparative social costs and benefits of different material inputs and outputs. Instead they receive a series of production orders, with no further information about the reasons these orders are being sent. And in the case of Weitzman's procedure, the orders are all infeasible until the very last one.

The other quantity-guided procedures differ from Weitzman's in that

1. The units respond with feasible quantity proposals rather than a price vector of resource evaluations to the quantity proposals from the center.

2. The information received from the units must be retained and built into an ever more accurate image of individual unit's technical possibility sets in order for Weitzman's center to calculate its next quantity proposal; whereas the information received in dual form in the other quantityguided procedures could be thrown away after each iteration.

But once it is recognized that retaining information sufficient to build an image of each unit's dual is the equivalent of being able to build an image of the technical possibility sets themselves, our analysis of the cybernetic deficiencies of Weitzman's procedure extends to all other quantity-guided mechanisms.

Mixed-price and quantity-guided mechanisms do not improve the situation, leaving us with the conclusion that central planning fails to provide the executors of economic activity sufficient information to exercise selfmanagement, even if they were permitted to do so, and none of the information required for developing empathy and solidarity between members of different units in the economy. Furthermore, central planning does not even provide the Central Planning Board with the information necessary to evaluate the full, human consequences of their choices. Instead, central planning bestows an information monopoly limited to technical aspects of the economy only on the Central Planning Board.

So paradoxically, while central planning teaches us to treat the economy as "one big factory," all of whose parts are interconnected in an effort to maximize social well-being, it does not provide those who carry out economic activities knowledge concerning how their efforts contribute to the final outcome. It succeeds only in creating a monopoly of technical information, which can contribute to new social divisions and differential power and wealth, as we explain below.

 

9.4.2 Central Planning and Authoritarian Roles

We have just seen that during the iterative procedures of central planning the individual units are not participating in the social generation of an economic plan, but are instead supplying data to the Central Planning Board so that the CPB can calculate a plan for the units to carry out. The only "management" central planning leaves to the individual economic units is to "manage" to fulfill the centrally planned targets with the inputs they are allocated. So the essential characteristic of the interunit roles of central planning is a command relationship between the Central Planning Board and each individual unit. The Central Planning Board issues marching orders; units obey.

Benjamin Ward describes this kind of role structure as a hierarchic organization in which

"there is a partial ordering of participants . such that each is either a superior to or a subordinate of some other participant, or both, and such that no participant, directly or indirectly, is both superior to and a subordinate of another."58

In the specific case of the interunit roles of central planning, every unit is a subordinate of the Central Planning Board and is superior to no other participant, and the Central Planning Board is superior to all individual units and a subordinate of none. In other words, if we abstract from ministries representing aggregate sectors, no intervening layers in the chain of command characterize the hierarchic interunit institution of central planning. 59 Ward uses the term "command economy" to "refer to this type of economic organization where the allocation of resources is carried out by the extensive use of orders to produce and deliver goods," and points out that centrally planned economies "are distinctive in that they use the command economy extensively in inter-enterprise allocation processes." 60

Moreover, the authoritarian character of the interunit roles in central planning is likely to spread to intraunit roles for two reasons. First, an authoritarian relationship requires that the superior agent have effective means for holding the subordinate agent accountable for carrying out directives. This entails establishing methods of surveillance and verification as well as incentives for subordinates to obey orders. In our opinion, it will quickly become evident to the Central Planning Board that it is easier to hold a manager accountable for carrying out directives than to try and establish complicated methods of surveillance, verification, and incentives sufficient to hold an entire democratic council of workers accountable. Of course, if the Central Planning Board chooses to deal with a manager whom they appoint, rather than a workers' council in each production unit, they must logically grant the manager authority over the workers in the production unit. In this way the hierarchy spreads downward in the economy, with many intervening layers of participants who are superiors to some but subordinates to others, as the managers of each enterprise establish an authoritarian hierarchy beneath them in each unit.

But, in addition to the need for compatibility within the institutional boundary of central planning-in this case between the interunit and intraunit roles-if central planning is to be socially stable, strong forces also push for compatibility between the human center and the institutional boundary. Authoritarian interunit roles tend to act on people's consciousness and personalities to create a human center more compatible with authoritarian intraunit roles. Once we recognize that apathy among the ranks of subordinates is the flip side of the authoritarian coin, it is easier to see why the authoritarian interunit institution of central planning makes all the more likely the emergence of authoritarian intraunit forms and tends to obstruct democratic and participatory impulses wherever they might arise in society.

 

9.4.3 Central Planning's Inherent Bias against Self-management

We described three different approaches to finding the social welfare function: political determination, market determination, and voting. The first two can be rather easily rejected from the point of view of our new welfare theory. The authoritarian implications of any of the nondemocratic political determinations are obvious. And in combination with the inherently authoritarian role structures of central planning, the results are predictably disastrous. The tension we expect to exist between fulfillment and development might suggest the desirability of combining political determination with market or voting procedures. Revolutionary "philosopher kings" would presumably represent a "developmental" counterweight to the "fulfillment" pole expressed through market or voting procedures. But we can think of no reason to grant a nondemocratic political force any authority beyond its ability to influence the outcome of either market or voting determinations through persuasive argument and any respect it might deserve due to past insights.

The problem with using market prices in the planners' objective function is simple. Markets are no more able to handle problems of public goods and external effects under central planning than in private or public enterprise market economies. There would be no retail prices to use for obvious public goods like national defense, environmental protection, parks, education, etc., for which some alternative decision-making mechanism would have to be employed. But more importantly, using market prices to estimate relative social values for those goods that can be sold in retail outlets incorporates the same bias against goods with some external effects and the consequent snowballing nonoptimality we explained in chapter 7. In other words, retail prices can no more accurately convey the relative social benefits of the great majority of goods and services in central planning than they can in pure market systems. Markets are simply ill-suited to the task of preference expression given the fuzzy border between personal and social effects-irrespective of what economic system employs them.

This leaves determination of relative social values in central planning to some form of voting scheme. We will give voting every benefit of the doubt, and attempt to show that even at their best, voting procedures will be biased against the provision of self-managed work activities.

First, we assume complete democracy; every member of society will have the same number of points to vote. Second, we assume "informed" voting, based on the fullest possible discussion of the merits of different arguments in the social welfare function and complete knowledge of both the fulfillment and development effects of all goods. Third, we assume no elements of "gamesmanship" or "coalition formation" corrupt the voting process. Fourth, we rule out all manner of complications much discussed in the literature on majority voting such as the problem of "cyclical majorities" or the "paradox of voting." 61 Fifth, we assume the voting process exhibits no bias against goods with external effects. 62 We now argue even in this "best case" scenario that central planning is inherently flawed because perfectly informed "democracy" is not the same as "selfmanagement."

The paradigm in chapter 5 highlighted the likelihood that the effects of different economic activities are not usually confined to single individuals or units in the economy, but neither are they evenly spread over all members of society. With this in mind, we defined self-management to be having decisionmaking input, or authority, with respect to a certain choice in the proportion that one is affected by the outcome of that decision. And we pointed out that self-management would not be the same as individual freedom of choice except in those relatively exceptional cases where the effects of a particular activity were confined entirely to a single individual-the case of "pure private goods." But self-management is also not synonymous with majority rule except in those rare cases where the effects of a particular choice are spread equally over everyone in societythe case of "pure public goods."

In other words, in most situations self-management lies somewhere on the continuum between "individual freedom" and "democratic majority rule." And just as market institutions exhibit a bias against self-managed decision making for activities with some degree of "public" external effects, a democratic voting procedure for determining the social welfare function, which will be mechanically translated into production orders for every unit, exhibits a bias against self-managed decision making for activities with some degree of "private" effects.

The problem can be put in terms of choice of production technology: to achieve self-management the economy must provide greater decisionmaking authority than the social average to those working in a particular production unit over the choice of technology in their unit. I would want such "extra" authority in the voting process when we come to questions about my work place. And in return, I would happily grant more authority to others concerning their work place. This is not simply because of differences in information about what the outcome is likely to be-I understand better the consequences in my factory; others understand better the consequences in their factories-though that too might be a factor. More fundamentally, it is because in one case I am more affected, so my preferences should count for more, and in the other case, other people are more affected so their preferences should count for more.

But "democratic" central planning gives everyone equal say in determining the social welfare function and then mechanically translates that social welfare function into specific production plans for each unit in the economy. This implies that workers in other plants have as much say in determining the choice of technology in my work place as I have, and I have as much say about technology in their work places as they have. Since the effects are unequal, equal decision-making input is not self-management.

The difficulty is that the choice of technology in any one plant has some private aspects because it affects the workers in that plant more than people elsewhere. But even the most perfectly democratic, centrally planned system exhibits a bias against self-managed work by treating this choice as if it were a pure public good.

Although some of the bias against "self-managed" work roles can be alleviated in central planning by including different categories of work activities along with different consumption goods in the social welfare function, this in no way solves the problem discussed above. To the extent that a skilled carpenter has more power to define the nature, organization, and pace of his or her work activities than an assembly-line worker, people could record their preference for self-managed work situations by voting fewer negative points to carpentry than assembly-line work when distributing their points among different arguments in the social welfare function. But as a carpenter or assembly-line worker in a particular enterprise, he or she has no more say over choice of technology in that unit than a carpenter or assemblyline worker in a unit thousands of miles away. That problem cannot be overcome by simply including the list of different labor activities in the social welfare function and permitting people to indicate their preferences for occupational categories characterized by more selfmanagement. The problem is that all work carried out in centrally planned economies, in all occupational categories, will have less self-management than would be desirable. 63

In sum, even if the Central Planning Board has overcome incentives for local management to dissimulate and discovered the production possibility sets of all individual units, even if the CPB; knows all the primary resource availabilities and initial stocks of capital goods, even if every member of society votes an equal number of points in determining the social welfare function and makes no mistakes in their evaluations of both the fulfillment and development effects of all arguments in that function, even if there are no problems with gamesmanship, voting paradoxes, and external effects, even if sufficient incentives guarantee that the plan is carried out to the letter, and even if we include different kinds of labor activities, or occupations, in the social welfare function, central planning still has a bias against provision of self-managed work activities. Work activities in centrally planned economies will be characterized by less self-management than under some conceivable, alternative organizations of production.

 

 

9.5 An Imperfection Theorem 

We formally express this inherent bias against self-managed work by stipulating that a centrally planned economy's supply curve for work activity characterized by any degree of self-management is everywhere above the true marginal social cost curve for supplying that activity. In a model where we conceive of individuals "purchasing" jobs with desirable characteristics, this translates into a higher than optimal supply price individuals must pay for jobs with self-managed characteristics.

 

9.5.1 Model 5: An Economy with a Bias against the Supply of Self-managed Work 

M 5. 1. There are many time periods: t = 0, 1, ... T

M 5.2. There are four goods in each time period: three consumption goods, x , y , z ; and a labor activity that has some degree of selfmanagement, a.

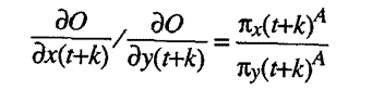
M 5.3. We stipulate supply prices equal to true marginal social costs for the three consumption goods. But in the case of good a the supply price is something in excess of the true marginal social cost, expressing the bias inherent in even "best case" central planning as discussed previously.

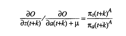
M 5.4. More precisely, we let O(x0, y0, z0, a0; ... xT, yT, zT, aT) define the production transformation locus of all efficient productions for the economy as a whole. Then the ratios of the marginal social costs of supplying one more unit of b at time t in terms of the number of units of d that must be foregone at time (t+k) would be

where b and d can equal x , y , z , or a

M 5.5. But whereas for all (t+k)

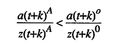
M 5.6. The structural bias is expressed by

with m > 0.

The market for a(t+k) as it would equilibrate both with and without the structural bias against self-managed labor activities is represented in the above graph

 

FIG 9.1. SUPPLY AND DEMAND FOR SELF-MANAGED WORK UNDER CENTRAL PLANNING

For our purposes, the important result is that with the bias

and assuming no bias in the supply curve for z(t+k)

And, therefore,

Which establishes our third, and last, imperfection theorem:

 

THEOREM 9.1: CENTRAL PLANNING BIAS AGAINST SELF-MANAGEMENT.

Centrally planned economies will "charge" individual job seekers more for self-managed work activities compared to other activities than is socially optimal, resulting in less self-managed work being performed than is socially optimal.

 

 

9.6 Snowballing Nonoptimality

When we combine the inherent bias of central planning against the provision of self-managed work activities with a view of people as having endogenous preferences, we find that not only will central planning be inefficient in its organization of work at any point in time, but that the degree of inefficiency will increase, or "snowball" as time goes on.

 
THEOREM 9.2: SNOWBALLING AUTHORITARIANISM IN CENTRAL PLANNING.

In a centrally planned economy not only will self-managed laboring activities be overpriced and undersupplied at some initial point in time, but the degree of divergence from optimality will be greater than indicated by traditional welfare theory and grow, or "snowball" over time. Accompanying the snowballing nonoptimal allocations will be a "snowballing" apathy consisting of "warped" human characteristics which undervalue selfmanaged work activity.

 

By conceiving of individuals as "buying" jobs with different characteristics, we have proved Theorem 9.1 in a form that permits immediate application of Theorems 6.6 and 6.7. Once the self-managed labor activity is recognized as activity a of Model 3 in chapter 6, these theorems can all be applied to the bias inherent in a centrally planned economy specified in Theorem 9.1, yielding Theorem 9.2.

It is worth pointing out that Theorem 9.2 is valid assuming only

1. The supply-side bias against self-managed labor is operative to the tiniest degree

2. There is a single individual who has the slightest preference for selfmanaged work activity

3. That such an individual has the slightest degree of endogeneity in his or her preferences

In other words, snowballing nonoptimality results even under these extremely lenient assumptions and without specifically stipulating the degree to which any individual is capable of being fulfilled by selfmanaged work or the proportion of people who have this capability. Of course, the greater the capacity of fulfillment through self-management, the greater the bias against the supply of self-management, and the more room people have to maneuver their preferences, the worse the situation becomes.

Moreover, as we pointed out in chapter 6 in discussion of Theorems 6.6, 6.7, and 6.8, Theorems 9.1 and 9.2 are proved without assuming that the activity of engaging in self-managed work itself in earlier time periods enhances the appreciation of self-management in later time periods. In other words, we assume only that the desire for self-managed labor could be affected developmentally, not that the self-managed activities have "auto" developmental effects themselves. In the not unlikely event that engaging in self-management generates ever greater appreciation for selfmanagement, and/or that performance of other-directed work increases tolerance for otherdirected work, the snowballing nonoptimality would have a "double" aspect and be aggravated.

 

9.6.1 An Important Caveat

The theorems of chapter 6 demonstrate that to the extent people's preferences are endogenous, rationality dictates orienting future desires toward activities that one has reason to believe will be available on relatively better terms and away from activities that one has reason to expect will be available only on relatively worse terms. That is, if the expected conditions of future supply of particular kinds of activities is biased, people can be expected to influence their own development in a similarly biased direction. The imperfection theorem of this chapter translates the argument that central planning has an inherent bias against provision of self-managed labor activities into the proposition that citizens of such economics will be charged too high a price, so to speak , for work roles characterized by some degree of selfmanagement. 64 In combination the two arguments imply a cumulative divergence from "producer sovereignty."

Moreover, the argument implies that the process of people molding their characteristics to conform with the core characteristics of a centrally planned economy is not only a process entailing loss of potential fulfillment and warping of the optimal human development pattern-a process in which private rationality yields social irrationality-it is a process that reinforces the core characteristics of central planning. Our analysis, therefore, predicts not only a "snowballing" divergence from the optimal organization of human laboring capacities, but an increasingly dominant and entrenched central planning mechanism.

But the results of formal arguments are easily misconstrued. What we have been able to capture in our formal models and theorems is the logic of the system stabilizing effect whereby various institutional boundaries ,'mold" the human center toward greater conformity. The degree to which this is not possible-or the extent to which resistance will build-is not so easily modeled. In any case, it should not be inferred from what we have just proved that the citizens of real centrally planned economies are forever doomed to everincreasing domination and apathy. Fortunately, the real world is more complicated than simple models and not nearly so determinant. There is always some resistance to inefficient social mechanisms and always a possibility that such mechanisms will be corrected. In this regard the question of momentum is critical. In the struggle between the criterion of developing ever-greater passivity among the executors in the economy (implicit in the core characteristic of authoritarianism inherent in the interunit mechanism of central planning) and the criterion of maximizing human fulfillment through the free development and expression of self-management among the participants in the economy, the perception of the likelihood of institutional change has a powerful impact on "individually rational" adjustment strategy.

If the core characteristic of central planning increasingly dominates the actual conditions of work, it will be increasingly rational for people to accelerate their adjustment to authoritarian conditions. But if the momentum should begin to reverse, if groups of workers should begin to place constraints on the choices of technology available to the central planners, the disjuncture between centrally planned work roles and people's perceived needs and expectations will widen, until central planning might be, replaced by some alternative form of interunit economic institution. Central planning is not unique among major social institutions in being reinforced by the individually rational choices of those whom it oppresses. And to recognize this discouraging potential is not to deny the possibility of more encouraging potentials and prospects for change.

 

9.6.2 Summary: Snowballing Authoritarianism

The problem with central planning, as seen from every vantage point of our new welfare theory, is that it generates authoritarian dynamics. Central planning minimizes the amount of knowledge that direct producers have about how they fit into the rest of the economy and generates a monopoly of technical information in the Central Planning Board. The interunit roles of central planning are command relationships that promote similar hierarchical relationships within production units. No matter how democratic the process of choosing the social welfare function, central planning still has an inherent bias against provision of self-managed work activity since the best it can offer is equal say over the choice of technology in every production unit to every worker in the economy. In context of endogenous preferences this initial bias leads to a snowballing away from optimal organizations of the work process as people continually lower their desires for self-managed work activity. In this way the authoritarian characteristics of the interunit institution of central planning come to pervade the human center of society, generating ever greater apathy and passivity among the work force.

We have concerned ourselves with evaluating the mechanism of central planning to focus on what we believe to be its "tragic flaw" - its bias against self-management with all this entails. While highly critical of central planning, this has never been the focus of traditional analysis. The early debate focused on the "calculation problem." When mathematical programming theory and modern computer capacity rendered this criticism obsolete, traditional theorists turned their critical gaze toward information and incentive problems. While we do not mean to belittle the practical importance of dissimulation by local managers or the theoretical problems of majority voting, we do believe they are irrelevant to the most fundamental deficiency of central planning. To put it differently, under equally generous assumptions as those afforded PrEMEs, it seems to us traditional welfare theory should find central planning equally as "efficient" and "flexible" as public and private enterprise market systems, at least in theory. 65 In contrast, our evaluation distinguishes central planning from other economic mechanisms on welfare theoretic grounds and provides a critique of "best case" central planning on theoretical as well as practical grounds. This completes our "evaluative" task regarding central planning: it is an inherently flawed economic mechanism. But in light of the importance of central planning in real economies, we close on an "analytic" note with a brief treatment of the predictable impact of central planning in the real world contexts in which it has been deployed.

 

 

9.7 Central Planning and the Coordinator Class

As we have seen, the informational and role biases of central planning generate a group within the economy with a monopoly of technical information and a habit of playing the superior role in command relations. Moreover, the absence of information available to workers, their role experiences, and "individually rational" adjustments to the scarcity of selfmanaged work situations, generate a condition of increasing apathy among those who must "execute" economic decisions.

In comparable circumstances some have seen fit to argue that these are "objective" conditions ripe for formation of an exploiting "class":

1. A position of strength for a minority stemming from a common relationship to the means of production, which provides the minority the possibility of directing economic activity to reinforce their power and satisfy their own desires

2. A situation in which the great majority of actors find themselves with little motivation and or means to resist the dominance and exploitation to which they become subjected

In short, central planning tends to empower a class of central planners and high-level plant managers and foment apathy among those who are disempowered. Central planning eases the road of central planners and the plant managers who serve them to power.

But this is not the place to address the details of class theory. Nor do we wish to present here the full case for identifying a potential ruling class besides the capitalist and working classes, a third class whose power is based on a monopoly of economic information and control over economic decision making. 66 Without delving into the debate over classes in public enterprise, or postcapitalist economies, 67 we simply observe:

1. In the context of powerful authoritarian dynamics in noneconomic spheres of social life that have accompanied most anticapitalist revolutions, the authoritarian dynamics of central planning should be viewed as particularly dangerous to prospects for self-management and democracy.

2. Many leftists have singled out the political institution of a single "vanguard" political party with bans on internal factions-or the "flawed practice" of democratic centralism by a particular ruling party-as the internal flaw that combined with "objective circumstances" and "external pressures" to yield authoritarian outcomes in any number of postcapitalist experiences. 68 And even leftists who admit the existence of a ruling class" - in addition to whatever political and military ruling elites" they may also recognize in postcapitalist societies-frequently avoid any criticism of the institution (as opposed to practice) of central planning. 69 In our view, while criticisms of political authoritarianism are on the mark, there is every reason to include theeconomic institution of central planning in the list of culprits when trying to explain authoritarian outcomes in postcapitalist societies.

Howard Sherman, a Marxist expert on the Soviet Union, described the interactive, overlapping segments of the ruling elite in the Soviet Union:

There are four main hierarchies in the Soviet Union: the Communist party, the government apparatus, the economic pyramid, the military. Within the Communist party, the top functionaries (such as in the Politbureau) have enormous power and are appointed rather than electedthough there are "elections" after the decision is made. There are also powerful officials in the government, such as the Council of Ministers and their deputies. The economic pyramid is ruled by a small group of economic planners at the top (responsible to the government and party leaders) plus some powerful directors of sectors and very large enterprises. The military is, of course, completely hierarchical, with the top generals also being party leaders in some cases. In each of the four hierarchies, orders flow downward, while some information flows upward. At the top are fifty to a hundred people who control all four hierarchies and frequently transfer from one to the other. 70

This is not the place to consider the possibility that the relative dominance of the economic elite has grown with the "maturing" of Soviet society and that the erosion of Stalinist political structures has largely been due to the increasingly successful struggle of this strata of Soviet society to expand its own political and cultural space most recently via perestroika and glasnost. The important point to note is that each of the four arenas Sherman describes is governed by a hierarchical organization whose authoritarian dynamics are mutually reinforcing. In these circumstances it should be apparent that the likelihood of a democratic procedure for determining the social welfare function is minimal, as party, state, military, and economic elites seize control of the process of defining society's goals. In our view, it is only a matter of time before executors in the economy come to recognize that the interests of the various elites have been substituted for society's welfare in the planners' objective function. This creeping realization, combined with increasing apathy, eventually erodes whatever motivation there might have been initially to execute the plan out of feelings of social solidarity. At such time, the only alternative to using increasing repression to elicit people's cooperation and effort is to rely on more material incentives. So in real world scenarios, it is all too likely that even the potential strength of central planning--elimination of competition and promotion of solidarity among the citizenry-will vanish along with self-management.

Under these circumstances we should not be surprised by power struggles over economic "reforms" among the ruling elites-between the coordinator class in the economy, high-ranking party officials, state bureaucrats, and military elites-as well as struggles between managerial and central planning "fractions" of the coordinator class itself. But struggles among the elites must be carefully distinguished from popular challenges to elite rule-which is not to say the latter have not occurred, and will not occur again. 71