A
Quiet Revolution in Welfare Economics- by Michael Albert and Robin Hahnel
8.3.3 Gintis and Katmer's Invisible Hand
Revisited
Gintis and Katzner found that profit-maximizing employers would make socially
efficient decisions if:
1. Employees permit their employers to choose whatever activity they wish from
the set of all activities employees formally agree to provide in return for
their contractual wages.
2. Employees, of their own volition, choose to behave in ways that conform perfectly
to the wishes of their employers.
3. Employees are influenced exclusively by their immediate supervisor's goals
and premises.
4. Employees have no preferences regarding what activity they perform but are
motivated exclusively by monetary incentives.
In chapter 2 we merely remarked upon the implausibility of these sufficient conditions
for a correspondence between profit-maximizing decisions and socially efficient
decisions. But now we are in a better position to offer a more meaningful interpretation,
and explain why we o not believe these conclusions contradict our conclusion that
unless employees are all powerful vis-a-vis employers, profit maximization will
not generate social efficiency-first appearances to the contrary.
None of the above conditions are likely to be met in full-which was Gintis and
Katzner's point. Conditions two and four both stipulate that employees have no
reason to oppose employers' desires regarding what they actually do for their
wages. They essentially stipulate no conflict of interest over extraction and,
therefore, no squabble to potentially disrupt social efficiency. Conditions one
and three stipulate, in effect, that employers are all powerful in their ability
to extract whatever performance they desire from their employees. They essentially
certify that the labor exchange is, in fact, a quid pro quo exchange in which
the buyer receives a known quantity of labor services for a payment. In this case,
there is no more reason to expect inefficiencies to result from the exchange between
employees and employers than there would be from quid pro quo exchanges of physical
commodities between firms and consumers, or among firms facing one another under
"competitive" conditions.
So, do the Gintis/Katzner theorems contradict our conclusion that only total employee
power is consistent with Pareto optimal outcomes? While their conclusions appear
to contradict ours, we think the inconsistency is only apparent. In the first
place, we took for granted that the preferences of employees and employers over
work activity space generate nonidentical orderings.
38 In other words, we implicitly assumed a conflict of interest over
what employees actually do in exchange for their wages-a conflict of interest
over extraction-thereby ruling out the feasibility of conditions two and four.
All we can say to someone who believes there are no conflicts of this sort is
to suggest they get a job! 39
How can the Gintis/Katzner theorems be reconciled with our assertion? The key
is to note that the Gintis/Katzner theorems are derived in a single period model
in which there is no question of how the conditions of employer power were established.
These conditions either do or do not exist, and there are no costs to employer
or society for establishing them. Our conclusion, in contrast, is set in a multiperiod
model in which employers establish their power in later periods by actions taken
earlier.
In our model, the actions employers take to enhance their power later entail present
costs in the form of lost profits due to choice of less than the most efficient
technique. These are not only costs to the employer in lost revenues, but costs
to society as well in lost output. And while the employers "balance" their losses
against greater profits later due to enhanced bargaining power, there are no "balancing"
gains for society. Enhanced employer power carries no social benefits, which is
why efforts undertaken to establish high levels of employer bargaining power necessarily
imply nonPareto optimal outcomes in our model. Infinite employer power over extraction
does not imply social inefficiency in the Gintis/Katzner model, however, because
no social (or private) costs are entailed to establish this condition. Moreover,
once the condition exists, infinite employer power over extraction turns the labor
exchange into a quid pro quo exchange guaranteeing it will produce social efficiency
if there are no other considerations.
Besides reconciling our conclusions, the important point is to focus on what will
determine employer bargaining power. What will determine the degree to which actual
conditions fall short of the Gintis/Katzner conditions? The answer, of course,
is that what will largely determine the extent to which conditions diverge from
full compliance with any of the four Gintis/Katzner conditions are the individual
and group characteristics of employees. The characteristics our model identifies
as "human state variables," such as personality traits, knowledge, and values,
are precisely the traits that will determine to what extent employees do or do
not distinguish their interests from those of their employers (conditions two
and four), or find themselves in a position able or unable to oppose their employer's
will (conditions one and three). Moreover, the employee traits that determine
the extent to which these conditions are fulfilled are not "given," but are instead
endogenous variables subject to influence by the choice of technology and reward
structure the employer makes in earlier time periods.
8.3.4 Malfeasance Reconsidered
In our view, public enterprise and employee management
40 might be expected to improve upon private enterprise and management
to reduce malfeasance and the social costs of combating it for two different reasons.
One reason is easily formulated without the aid of our paradigm and models, but
the second is not.
Even if individuals are equally tempted to shirk in both circumstances, the cost
of surveillance to combat this tendency is less to the extent that other productive
employees can be relied on to monitor their fellow workers' performance. To the
extent that shirking adversely affects the "rational self-interests" of fellow
employees-rather than the interests of a private (or state) employer-the greater
will be the incentive for other productive employees to monitor each other's performance.
In this case the need for supervisory workers who produce nothing themselves is
diminished. 41 This is an
argument easily formulated with traditional welfare theoretic concepts. It focuses
only on how rational, individual self-interest can be expected to affect the costs
of surveillance.
But Bowles and other adherents of the conflict school have also implied that private
enterprise aggravates the temptation to shirk. We agree that, irrespective of
the system of surveillance, punishment, and reward, private enterprise contributes
to the tendency toward malfeasance, but feel the case can be strengthened. Specifically,
we think our paradigm helps explain why the Neo-Hobbesian view of the impluse
to malfeasance is insufficient, even in strictly welfare theoretic terms.42
By identifying the importance and origins of human characteristics and treating
preferences as endogenous, the concept of "rational individual self-interest"
becomes more complex. In the first place, one's preferences toward work effort
are seen to depend on the human characteristics one has developed. If a history
of participating in production decision making creates characteristics that generate
preferences more favorable toward effort, there is reason to believe that more
participatory environments should lessen the impulse to shirk. Similiarly, if
a history of cooperative relations with fellow workers creates characteristics
that generate empathetic preference structures among workers,
43 while a history of combative relations with an employer creates
characteristics that generate hostile preferences toward the interests of one
regarded as a disinterested tormentor; there is reason to believe that more cooperative
and less hostile work environments lessen the impulse to shirk.
After all, "rational, individual self-interest" is only meaningfully interpreted
as rational pursuit of one's preferences. Once we recognize those preferences
are influenced by characteristics, which are influenced by previous activities,
which are influenced by the structure of interests and conflicts of interest that
exist among and between different participants in the social organization of production,
there is every reason to expect different individual preferences for shirking
in different social environments. Put differently, nothing is necessarily irrational
about individuals having different motivations to engage in malfeasance under
different circumstances, even if we assume that they are motivated entirely by
personal utility maximization. The Neo-Hobbesian view reduces to the assertion
that preferences for shirking are exogenous, so that the amount of shirking that
will occur depends only on the extent of the opportunity. Our paradigm helps clarify
why this presumption is an unwarranted oversimplification 44
8.3.5 Reducing Solidarity
We now turn to an abbreviated discussion of the kind of characteristics that might
be expected to enhance employer bargaining power. The stronger the employees'
group characteristic we call "solidarity," the worse employers chances of achieving
wage reductions and extracting greater effort are. This is in large part the attraction
of unions to employees in private enterprise systems and the reason employers
go to considerable cost to prevent unionization.
Aggravating Racial Antagonisms. One way employers can prevent or dilute
employee solidarity is by aggravating racial antagonisms. In our model the divide
and conquer strategy many have alluded to, and Reich modeled, is seen as an attempt
on an employer's part to prevent development of or erode the group characteristic
of solidarity by pitting one race of employees against another. The strategy is
to systematically favor one race over another to establish a situation in which
employees of neither race will support efforts of the other to resist employer
pressure over division and extraction. Sometimes the reasons racial discrimination
would be destructive of employee solidarity are assumed to be obvious. Sometimes
it is implied that it is simply a matter of stirring up bad feelings from historical
antagonisms. We prefer to spell out the dynamic in the following terms: the race
that knows itself to be discriminated against will rightfully blame the race that
either overtly or tacitly colludes with the employer by accepting unfair advantage.
The favored race will be precluded from establishing open and supportive relations
with members of the race that is discriminated against because of the compromised
position their privileges from collusion place them in. Understood this way, while
the result is that neither race will support the other, the reasons are fundamentally
asymmetrical.
We are not suggesting that PrEMEs "invented" racism. We recognize that what usually
occurs is better seen as employers playing upon an oppressive historical relation
whose roots can most often be traced to a noneconomic sphere of social life we
call the community sphere 45
. We are discussing here whether or not predictable dynamics of the economic institution
of private enterprise are co-reproductive, rather than destructive (as traditional
theorists claim), of racist dynamics and characteristics in other spheres of social
life. Nor do we insist that favored races must necessarily "gain" or "lose" compared
to a situation without discrimination. It is possible that the discriminatory
"premium" enjoyed by the favored race is less than the loss they incur as employees
in a weakened bargaining relation with their employer. But it is perfectly possible
that the opposite may hold. 46
In any case, it is possible racially dominant groups of employees might enjoy
a net "gain" from the racial practices of employers and, therefore, engage in
"rational" collusion, just as it is possible racially dominant employees delude
themselves to think this is the case.
Of course, employer discrimination can take many forms. To enumerate a few: members
of subordinated races can be discouraged from applying for employment. Members
of subordinated races can be hired less than in proportion to their representation
among qualified applicants. Employees of subordinated races can be paid lower
wages for the same work, fail to receive promotions as rapidly as equally qualified
members of favored races, or be assigned to job categories that pay less, are
less healthy, less enjoyable, or less skill developing. Or, employees of subordinated
races can simply be harassed to a greater extent than employees of favored races.
Nor is manipulation of reward structures the only way employers can aggravate
racial antagonisms. By choosing technologies that imply a wide variation in the
pleasantness of different job roles over technologies with relatively uniform
human effects, or by choosing technologies that isolate employees from one another
rather than require frequent cooperation, employers can establish conditions that
favor aggravation of racial divisions. But in all cases, the social dynamic generated
between favored and subordinated races is roughly what we described above, and
the effect is to diminish employee solidarity.
Aggravating Sexual Antagonisms. Theoretically, the logic of employer
discrimination on the basis of gender or sexual preference is completely parallel
to racial discrimination. 'nis is not to imply the two dynamics are equally productive
to employer ends in all circumstances. (It would be most surprising if they were.)
Nor is it to imply that the forms used most often to aggravate sexual divisions
are the same as the forms most frequently employed to aggravate racial divisions.
(The form of job "ghettos," which gives rise to the response of pay according
to "comparable worth," for example, appears more prominent in the case of sexual
discrimination. 47 But in
both cases we have the possibility of manipulating divisions that predate private
enterprise economies, and originate in noneconomic spheres of social life, to
expand future profits by diminishing employee solidarity. In both cases, competitive
labor markets compel employers to adopt such tactics, rather than provide incentives
against their use. And in both cases, the usefulness of such tactics to profit-maximizing
employers hinges on the assumption that at least some of those they will hire
tomorrow are in their employ today.
48
Artificial Hierarchies in a Homogeneous Labor Force. Even if a
society were devoid of racial, religious, and sexual divisions, and the labor
force were completely homogeneous with respect to productive capabilities, it
might well be in the interest of profit-maximizing employers to create artificial
hierarchies among their employees. By artificial hierarchies we mean establishing
distinctions in remuneration and treatment that are completely without basis in
skill and totally unnecessary to the organization and supervision of production.
While such distinctions could not play upon historical antagonisms among the work
force, they could still sew the seeds of justified resentment and rationalization
of unmerited privilege among employees that would enhance employer power. Below
we demonstrate that totally artificial wage differentiation that has this effect
is a necessary condition for profit maximization.
8.3.6 Reducing Self-management Capabilities
In addition to "divide and conquer" strategies, employers might profitably seek
to produce other kinds of effects on employees' characteristics when they decide
how to organize production. While "divide and conquer" tactics seek to diminish
the group characteristic of solidarity, there are individual characteristics employers
would do well to erode, and others they should try and promote.
De-skilling. As we noted in chapter 2, Harry Braverman reanalyzed a dynamic
originally treated a century ago by Henry Babbage. Braverman charged that private
employers would attempt to "de-skill" the content of work to reduce their wage
bill, and that while this was undoubtedly a profitable policy for employers it
was socially inefficient because it prevented society from fully utilizing available
productive human skills. In other words, according to Braverman "private profit
rationality" does not correspond to "social rationality" with regard to the use
of human productive skills.
But traditional theorists have long argued just the opposite. In their view, the
incentive for employers to substitute cheaper, less skilled labor for more expensive
skilled labor serves the social interest of "economizing" on scarce productive
resources. Traditional theorists, once again, see the invisible hand of competition
neatly arranging for employers' private greed to serve the interest of social
efficiency. We hope to use our model to clarify the assumptions behind both lines
of reasoning and to assess more accurately whether an invisible hand or foot is
at work here.
Everyone agrees profit-maximizing employers' have an interest in reducing the
use of any expensive input. If expensive labor can be replaced by cheaper labor,
profit-maximizing employers will presumably do so. If costly productive knowledge
and skills can be concentrated in the hands of relatively few employees rather
than spread among many, employers will presumably prefer to pay fewer a "knowledge"
premium. The question is to what extent such behavior serves the social interest
and to what extent, if any, it is contrary to the social interest.
Obviously, much depends on what happens to those whose skills are "economized."
If they are reemployed elsewhere and their skills are utilized as productively
as before, society has benefited. If they are left unemployed, society does not
benefit even though their employer will have succeeded in raising profits.
49 In our view, traditional theorists would be justified in accusing
Braverman of implicitly assuming an unemployed scenario in deriving his "antisocial"
conclusions, although it is important to realize the unemployment can take a variety
of forms. In addition to literal unemployment for victims of de-skilling (or skill-consolidating)
automation, their skills could be underemployed if they are retained in the new
organization of production but in capacities in which their skills are underutilized.
But the inefficiency would be the result of a kind of unemployment in any case.
Clearly, this immediately suggests a highly reasonable rebuttal to Braverman's
criticism. Traditional theory never claimed PrEMEs would be socially efficient
out of general equilibria. And a general equilibrium rules out the unemployed
scenario in all its guises. Does this mean Braverman's concern that private employers
would "go beyond the call of social duty" in their attempts to economize on scarce
productive skills is unwarranted in full employment scenarios?
Now that we have clarified that employers inevitably struggle with their employees
over relative bargaining power-irrespective of how competitive labor markets may
be-and that the human characteristics of employees are a highly contested terrain,
we are better able to use our model to define and compare the employer's interest,
employees' interest, and society's interest in the skill-enhancing and dispersing
effects of the labor process. First, a multiperiod model makes clear that skills
are not mere givens; they can be expanded, eroded, or transformed. Second, skills
are not merely accidents of birth magnified by education or training outside production,
they are also generated as "joint outputs" of production.
With this in mind, society's interest is to allocate scarce productive skills
to their most useful task at every point in time. And in this sense traditional
theory is perfectly correct; "economizing" on scarce productive skills (in a full
employment context) is socially beneficial. But it is also in society's interest
to maximize the creation of productive knowledge and skills that emerge from the
production process, ceteris paribus. Tliat is, as long as there is no loss in
useful outputs or diminution in job satisfaction, the more skills developed in
the greater number of employees the better from society's point of view. Otherwise,
there is a trade-off between more skills and other beneficial effects. But the
crucial point is that more skills are socially beneficial.
The employer's interest is to "economize" on expensive scarce skills at every
point in time, 50 but it
is not to maximize generation of skills among employees. Recalling the distinction
between private enterprise and slavery is once again in order. In this case, employers
of wage labor have no interest in maximizing the skill-enhancing effects of the
work process because, unlike slave owners, they are in no position to reap the
benefits of the employees' increased productivity. The employer cannot sell the
employee who has become more valuable. And if the employer attempts to reap the
benefits by rehiring the employee without paying him a wage differential fully
commensurate with his increased skill, the same competitive labor markets necessary
to negate Braverman-type inefficiencies will permit the employee to reap the benefit
of the difference between wage labor and slavery by "selling himself' to another
employer-temporarily. 51
But more importantly, to the extent employees with greater productive skills and
knowledge of the production process are more formidable opponents in negotiations
over division and extraction, the employer has an incentive to minimize skill-enhancing
"joint products." This was the logic Braverman rediscovered, and it is now clear
that it needn't hinge on an "unemployment" scenario.
Suppose an employer must decide whether or not to implement a technology that
requires no more inputs, yields the same outputs, but increases the skills and
knowledge of productive possibilities of his or her employees in the future. Suppose,
as well, labor markets are not particularly tight, so the employer will be able
to retain most employees without being compelled to pay fully compensating wage
differentials for their enhanced productivity, which we assume will be fully utilized
and result in greater future output.
It is obviously in society's interest to implement the new technique. But even
though there is a future profit gain effect since we stipulated that employees
are not (initially) in a position to capture 100 percent of the increased revenues
through compensating "knowledge" premiums, a profit-maximizing employer might
still reject the change. In addition to the "productivity" enhancing effect, there
may well be a "bargaining strength" enhancing effect. Employees may become more
productive as a result of their greater skills, but also better able to expand
their share of the net product due to their greater knowledge of productive possibilities.
So, even if the employer would be in a position to capture part of the "productivity"
effect at the original level of relative bargaining strength, the "bargaining
strength" effect may outweigh the "productivity" effect in the long run.
We can generalize the problem as follows: any change in the organization of production
that expands the "net product" is socially beneficial. If the change does not
affect how the "net product" will be divided between employers and employees,
we can rely on employers trying to maximize their part of the net product to implement
the change. But since employers are concerned only with their part-not with the
whole net product-they will not approve changes that augment the whole net product
but diminish their part. What our model makes apparent is that changes in the
organization of production, in general, affect both the size of the net product
and how that product will be divided among employers and employees. Therefore,
potential output-expanding changes may not be implemented by private employers
if the effect on the human characteristics of their employees is sufficiently
deleterious to employer bargaining power.
So, in a dynamic context, "de-skilling" may be quite different from "economizing
on scarce skills." And while both may be in the interests of profit-maximizing
employers, only "economizing" is in society's interest. "De-skilling" definitely
is not.
Employees obviously share society's interest in maximizing skill development,
but to claim they share society's interest in economizing on scarce skills at
any point in time would be deceptive. If loss of job entails costs for employees-because
they cannot immediately walk into anotherjob of equal or greater "value7--then
they do not share society's interest in shifting skilled employees out of positions
where they are no longer most valuable. It would be tempting to adopt the view
of traditional theory that "competitive labor markets" imply no employee-cost
of job loss, but we do not believe this to be the case. It would probably not
even be true if employees completely dominated employers, but it is certainly
not so under other conditions. So we also cannot have our cake and eat it too!
Which leaves us with the following provocative conclusion: an invisible foot accompanies
the invisible hand in both unemployment and full employment scenarios of private
enterprise management of productive skills. Moreover, neither employers nor employees'
interests coincide completely with society's interest regarding generation and
use of scarce productive skills under private enterprise conditions. If employers
are all-powerful, skills that could have been developed will not be. If employees
are all-powerful, existing skills that could be better utilized probably will
not be. At intermediate positions on the power spectrum, we will get a mixture
of the two inefficiencies that upon reflection jibes nicely with many empirical
assessments of realityl
Nonartificial hierarchies. We already explained how totally artificial
hierarchies might enhance profits by "dividing and conquering" employees. But
in a different sense hierarchies that are not totally artificial can enhance employer
power. Employers have a special interest in "compartmentalizing" knowledge of
the production process. If employees only know what is necessary to implement
a particular task, and if the knowledge of how to combine these particular tasks
is reserved to a small number of employees known as management, employee bargaining
strength will in all likelihood be less than if large numbers of employees are
aware of how to run the show. The more complete the fragmentation of productive
knowledge the better from the employer's perspective.
52
But this means that no matter how necessary hierarchies might be and no matter
how much hierarchy might improve efficiency, hierarchies also contribute to the
fragmentation of productive knowledge in a way that is beneficial to employers
but not to society. Which is not to say we concur with the dominant view that
hierarchical forms of production are unavoidable without great losses in productivity-as
is abundantly clear from our other writings. We simply mean that regardless of
what view one holds on these matters, one must recognize that private employers
have an incentive to become excessive consumers of hierarchy. Therefore, private
employers have reason to exaggerate the division of labor beyond the extent to
which it is socially useful, whatever that may be. Once we recognize the importance
of power relations between employers and employees and that employee characteristics
affect their power and that these characteristics are affected in turn by the
organization of production in previous periods, exaggeration of hierarchical divisions
that define differential distribution of information and different degrees of
control over decision making become a logical means of diminishing the self-managing
capabilities of employees and, thereby, their power in negotiations over division
and extraction. These hierarchies are not totally artificial in the sense that
they do define different jobs and responsibilities. But there is every reason
to suppose they are to some degree socially unproductive in situations where employers
expect to retain at least some of their employees from period to period. Moreover,
our analysis makes clear there is no reason to suppose the wage differentials
attached to different positions in hierarchies are reflective of marginal productivities
alone.
8.3.7 Internal and External Labor Markets
According to traditional theory the wage structure inside a firm should not differ
from the wage structure in labor markets outside the firm. For employers to pay
more when they could recruit identical replacements on the outside would be irrational.
And for employees to work for less than they could get for the same work elsewhere
would be irrational. That is, "internal labor markets" should be identical to
"external labor markets." Moreover, both should reflect only differential productivities
and desirabilities of different jobs.
But our argument above goes far toward explaining why there will be differences
between external and internal wages beyond relocation costs, and why wages reflect
more than differential productivities and desirabilities of jobs--even under the
most competitive conditions. If both artificial and nonartificial, but "exaggerated,"
hierarchies are part of profitmaximizing strategies, there is every reason to
believe wage rates attached to different categories of work will form a wage structure
inside the firm that differs from wages in "external" markets. Wage discrimination
entails paying whites and/or men higher wages than the external labor market establishes
for equivalent minority and/or female workers. Totally artificial hierarchies
mean employers will pay some "internal" employees higher wages than equivalent
"external" workers. But our focus on the importance of employees' characteristics
makes apparent a more general criterion for wage determination invisible to traditional
theory.
Greater productivity is grounds for higher wages, ceteris paribus, as are less
pleasant work conditions. But employee characteristics that improve their employers'
bargaining power are logical grounds for higher wages as well, ceteris paribus.
Just as any employee characteristic that enlarges the net product is worth paying
more for (as long as the employer receives part of the net gain), any characteristic
that enlarges the employers' share of the net product of the production process
is worth paying more for. In other words, we should expect employee traits that
tend to enhance employers' share of the net product to be rewarded by higher wages
just as characteristics that make employees more productive are.
For example, employee consciousness that readily accepts employers' "right" to
adequate compensation in the form of generous profits is obviously likely to increase
profits. But while this trait may be "profit expanding" it is not in any way "socially
productive." There is no reason to believe an increase in this trait would increase
the size of the social net product. Which leads us to the following conclusion:
in general, traits that diminish employee bargaining power may be as valuable
to employers as traits that expand the social net product. But whereas traits
that expand the social net product are socially valuable, traits that merely diniinish
employee bargaining power are not. Yet there is just as much reason to expect
wage "premiums" for traits that diminish employee power in private enterprise
economies as there is to expect "skill premiums," and "disutility premiums." Instead
of the traditional vision of competitive wages reflecting only productivity and
disutility-both legitimate criteria for social efficiency-we arrive at a vision
of competitive wages under private enterprise reflecting productivity, disutility,
and characteristics that favor employer bargaining power. And to the extent the
third factor enters wage determination, wage rates will not coincide with "efficiency"
wages.
In any case, the logic of the demand-side explanation for internal labor markets
that differ from external labor markets, which is invisible to the traditional
paradigm, is as follows: employers have an incentive to develop internal job ladders
with pay rates influenced by factors other than productivity and desirability,
and that vary from the pay rates for equivalent labor categories in external markets.
The incentive derives from the internal ladder's usefulness in diminishing employee
solidarity and de-skilling the work force as important employer tactics to "preserve
the integrity of the labor exchange" and reduce future wage bills. This entails
two consequences: (1) If much worker mobility occurs within job ladders of large
firms rather than between firms, 53
employers can create a degree of monopsony power for themselves with
internal job ladders, even if external labor markets are competitive; and, (2)
if the participation in the economy of large firms with such internal job ladders
is significant, over time the internal structures will necessarily shape the demand
structures of the external labor markets, which are ultimately nothing more than
the aggregate of the internal structures. Hence emerges a demand-side explanation
of segmented external labor markets.
We can only hope our discussion of the logic of internal job ladders based on
factors other than productivity and desirability and their relation to external
labor markets helps answer important questions critics have raised. For while
what has been mostly empirical work by modern institutionalists has done much
to advance the importance of "internal labor markets" and "segmented labor markets,"
the field has been marred by theoretical ambiguities and contradictions.
A successful challenge to the traditional
treatment on its own termswhich is to say in a steady state or perfect knowledge
model-requires emphasizing either
(1) that the choice of job organization/pay
structure (i.e., organization of the production process) affects worker solidarity
in the same period with implications for extracting labor effort after the
wage has been settled (Reich); or,
(2) that organization of the production
process affects human characteristics with consequent implications for negotiations
and extraction and wage rates in the future in a world with less than 100
percent turnover.
We find the latter track more suggestive
of important real world dynamics.
8.4 An Imperfection Theorem
In this section we express the arguments of the preceding sections as an imperfection
theorem, thereby formalizing our reformulation of the conflict theory in terms
of the new welfare paradigm.
We examine the implications of profit maximization for a competitive employer
who hires people to work in two different kinds of jobs. In addition to the traditionally
recognized effects of greater output and revenue and higher labor costs in the
employment period, our treatment recognizes the effects of time spent in work
activities on the future human characteristics of employees, the effects of employee
characteristics on employer bargaining power, and the effects of employer bargaining
power on effort and wage determination. Since the argument is for a typical competitive
employer, we can easily extrapolate to the implications for market demands for
labor, which yields our imperfection theorem. Moreover, the form of the imperfection
theorem is familiar and permits immediate application of Theorems 6.6, 6.7, and
6.8 on snowballing nonoptimality from chapter 6.
Our competitive employer produces only one output in each time period, which we
denote by x(t).
For convenience we set the price of this output equal to1 in each time period.
And since nothing is lost by stipulating that x is produced by means of labor
inputs only, we write that x
is a positive function of work efforts of type-1 and/or type-2:

Work effort, or what Reich calls "labor done," is expressed as a positive function
of both the number of hours worked, h,
and the degree of effort expended,e.

The degree of effort, e,
is expressed as a positive function of the bargaining power of the employer
vis-a-vis the employee, BP.
And we also note the negative effect of employer bargaining power on the wage
rate, Wk(t).
54

And employer bargaining Power, BP,
is expressed as a negative function of an employee human characteristic, C.
In other words, C is
a trait that makes employees more powerful in their negotiations with employers.
It is an employee empowering characteristic that weakens employer bargaining power.

The characteristic C
is stipulated as a function of hours previously engaged in work activities of
type-1 and type-2. Specifically, time previously spent in work activity I enhances
trait C, and time spent
in work activity 2 reduces C.

We complete our notation by using t(t)
to represent the employer's rate of time discount for profits in period t,
and q(t+j)
to represent the probability that an employee hired in period t
will still be employed by the same employer in period (t+j).
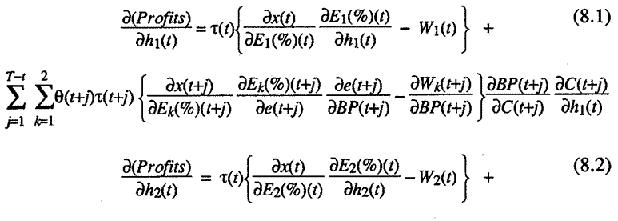
We express the employer's profits:

We need only examine two first order profit-maximizing conditions. We take the
derivative of profits with respect to hiring another hour of labor type-1 and
labor type-2 in some representative period t
The
first line in expressions 8.1 and 8.2 represents the traditionally recognized
effects of hiring another unit of labor of each type: the discounted increase
in revenues in period t that results from greater output coming from another
hour worked, and the discounted increase in wage that must be paid in period
t . The second line expresses the effects that are not recognized
by traditional analysis: in every future time period there is some probability
of changes in both revenues received and wages paid because working an hour in
one kind of job or the other in period t will affect the employee's characteristic
in all future periods and, thereby, the employer's bargaining power and ability
to influence the wage/effort outcome in all future periods for which the employee
is retained.
For 0 < q(t+j)
< 1 for all j, in
expression 8.1, the nontraditional affects are unambiguously negative. That is,
hiring another hour of work type-1 contributes less to profits than would be recognized
by traditional theory. In expression 8.2, the nontraditional effects are unambiguously
positive implying that hiring type-2 labor contributes more to profits than recognized
by traditional theory.
But our concern is less with correcting the estimations of traditional theory
than the implications of our analysis for social efficiency. If the employer's
rate of time discount can be presumed to be the same as the social rate of time
discount, the first term in the first line of expressions 8.1 and 8.2 represents
the marginal social benefit of another hour of labor of each type,MSB
(hk(t)).
But, we have just seen, the marginal private benefit to the employer of hiring
another unit of labor, MPB(hk(t)),
is equal to the sum of the first term in the first line plus the entire second
line, that is, the sum of the traditionally recognized benefit and the nontraditionally
recognized effect. The critical point is that the nontraditional benefit is not
a benefit for society, but only a benefit to the employer. The nontraditional
effect simply affects the relative bargaining power of an employer vis-a-vis his
or her employees. It affects only how the net product will be divided and the
extent to which employees will have to exert effort to collect their wages. And
while this is no doubt critical to employer and employee individual interests,
it is irrelevant from the perspective of social efficiency.
55
Profit-maximizing employers will
hire labor up to the point where the marginal private benefit equals the wage
rate, not up to the point where the marginal social benefit equals the wage
rate, and herein lies the imperfection of private enterprise production. The
marginal private benefit of an hour of type-1 labor is less than the marginal
social benefit, and the marginal
private benefit of an hour of type-2 labor is more than the marginal social
benefit. Since the discrepancy is precisely the sum of terms in the second lines
of 8.1 and 8.2, and the number of these terms will be greater the lower the
rate of labor turnover, that is, the higher q(t+j)
all j,
we see that the discrepancy will exist in any private enterprise economy in
which the rate of labor turnover is less than 100 percent per period, but is
all the more powerful the lower the rate of labor turnover.
56
For type- 1 labor the market demand, which is the sum of the marginal private
benefits to employers, will be less than the sum of the marginal social benefits.
And for type-2 labor the market demand, which is also the sum of the marginal
private benefits, will be greater than the sum of the marginal social benefits.
These market relations are expressed in Figs. 8.1 and 8.2.
Since outcomes will presumably be the equilibrium outcomes determined by actual
conditions of market demands and supplies, the actual wage paid for an hour of
type-1 labor will be lower than the optimal wage that equates marginal social
benefits and marginal social costs of another hour of work 1; and the actual wage
paid for an hour of type-2 labor will be higher~ than the optimal wage. If we
make the traditional assumption that the marginal disutility of labor of any kind
is rising, then we can also conclude that private enterprise production will employ
too little of type-1 labor and too much of type-2 labor in comparison with what
would be socially optimal. We state this as our second imperfection theorem.
| THEOREM 8.1: BIASES IN WAGES
UNDER PRIVATE ENTERPRISE. Under private enterprise production, unless
there is 100 percent labor turnover each time period, any kind of laboring
activity that generates employee-empowering traits will have an actual
market wage that is less than the socially optimal wage and be undersupplied.
And any kind of labor activity that weakens employee-empowering traits
will be paid more than the socially optimal wage and be oversupplied. |
To see how this theorem summarizes the arguments of the preceding sections in
our reformulation of the conflict theory one needs only to make the following
identifications: working under conditions of (1) participatory decision making,
(2) cooperation among employees, and (3) fairly perceived distribution of duties
and rewards among employees, 57
are all type-1 laboring activities, which are underpaid and undersupplied; whereas
working under conditions of (4) wage discrimination, (5) employment discrimination,
58 and (6) artificially created
hierarchies are all type-2 laboring activities, which are overpaid and oversupplied.
In our interpretation, the common thread in different representations of the conflict
school is that socially counterproductive practices such as wage and employment
discrimination, the creation of artificial hierarchies and overexaggeration of
nonartificial hierarchies, and the erosion of selfmanagement capabilities and
de-skilling of employees are part of rational profit-maximizing strategies of
employers who compete with one another for profits over the long run in economies
where employee turnover rates do not approach 100 percent. THEOREM
8.1 clarifies the basis for such behavior and its implications for social
efficiency.
These practices are all cases of working conditions that tend to erode employee
bargaining strength and enhance employer bargaining strength. The mechanism through
which this occurs is that working under such conditions affects both the individual
and group characteristics of employees in future time periods, which redefines
the relative bargaining strength (power) of employees and employers in future
negotiations (daily struggle) over the wage/effort package (real wage). To the
extent that employers can influence the choice of technology and reward structure
(organization of the work process) it would be "individually irrational" for them
not to take these effects into account in doing so.
59
By taking these effects into account, because they are part of the calculation
of the employer's private benefits 60
they will establish wage rates that diverge from "efficiency prices"
for labor services and misallocate human productive resources. The social inefficiency
is transparent once we recognize the divergence between private and social benefits.
8.5 Snowballing Nonoptimality
Once again we can combine the above results with the results of chapter 6 to provide
a fuller picture of the consequences of "individual, rational self-interest" under
particular institutional conditions. Theorems 6.6,
6.7, and 6.8 connect
allocative biases with snowballing nonoptimal allocations that will go unnoticed
if preferences are assumed to be exogenous. Theorem 8.1 establishes that the institution
of private enterprise generates a bias in the conditions of supply of different
kinds of laboring activities, as we have just seen. Private enterprise economies
will overpay and oversupply work activities that have the effect of disempowering
employees vis-a-vis employers, and underpay and undersupply work activities that
have the effect of empowering employees vis a vis employers. In the view of adherents
to the conflict school, and we certainly include ourselves in this category, working
under conditions of wage and employment discrimination, artificial and exaggerated
hierarchies, and discouragement of participatory and cooperative impulses are
precisely activities that tend to disempower employees. Whereas working under
conditions that encourage employee participation and cooperation, which employees
perceive to be a fair distribution of duties and rewards among them, are activities
that tend to empower employees. Combining Theorem 8.1.with THEOREM
6.6 we have Theorem 8.2:61
THEOREM 8.2: SNOWBALLING NONOPTIMALITY OF PRIVATE ENTERPRISE
PRODucriON. Not only will production under private enterprise fail to
deliver optimaljob mixes in some initial time period, oversupplying work
conditions that empower employers vis-a-vis employees, but there will
be a cumulative divergence away from optimal allocations in future time
periods as individuals "rationally" adjust their personal characteristics
to diminish their need for work opportunities that are underpaid and enhance
their preference for work opportunities that are overpaid.
|
Again, combining our "snowballing" theorems from chapter 6 with our "imperfection"
theorem expressing the logic of the conflict school in this chapter permits us
to see not only the generality of private enterprise inefficiency, but the full
consequences of this failure. Not only are laboring capacities systematically
misapplied, the severity of the misallocation of productive potentials worsens
over time. In this case, workers will mold their characteristics and preferences
to more readily accept discriminatory conditions, unwarranted hierarchy, and what
we might call "other directed" work. But again, such "individually rational behavior"
is "socially irrational" since the inefficiencies that result will diverge even
farther from efficient organizations of work efforts than had people not adjusted.
Moreover, our results highlight a
mechanism by which the dynamics of competition for profits between private employers
contributes to the development of particular characteristics in what we call
the human center of society. Our analysis explains why workers' "participatory
impulse" should diminish over time under conditions of private enterprise. And
while our analysis begins with an assumption of racial antagonisms, it explains
not only why employers might act to inflame those antagonisms, but why individual
consciousness might become more racist or sexist as people "rationalize" situations
for which there are positive incentives to accept.
8.6 A
Double Indictment
We conclude this chapter with a summary of our "full case" against private enterprise
market economies.
In formal terms our case is summarized by Theorems 7.1,
7.2, 8. 1, and 8.2. PrEMEs are characterized precisely
by two economic institutions that will guide and govern economic activity: markets
and private enterprise. Theorem 7.1 reformulates a result well known to the traditional
theory of public finance, namely that even competitive markets misallocate resources
in the presence of external effects. Theorem 7.2 establishes that under the assumption
of endogenous preferences misallocations from this source will become worse over
time. Theorem 8.1 establishes what we consider to be the essential result of the
conflict school, namely that private enterprise production misallocates human
productive potentials. Theorem 8.2 establishes that under the assumption of endogenous
preferences inefficiencies from this source will grow over time.
In other words, each of the principle economic institutions that characterize
what is more commonly known as perfectly competitive capitalism is inherently
flawed. Each exhibits a particular bias. regarding the terms of availability of
different kinds of economic activities from which people can choose. Each is characterized
by a particular kind of "imperfection" that will become magnified over time in
response to individually rational behavior.
Moreover, there is absolutely no reason to believe that the two biases and socially
inefficient trajectories "compensate" or "correct" each other. Therefore, we are
left with the conclusion that, contrary to traditional beliefs, the equilibrium
trajectories of private enterprise, competitive market economies will diverge
from socially efficient trajectories in a kind of "double" snowballing nonoptimality.
Of course, unless we have made errors of logic in the deduction of our theorems,
the difference between our results and those of traditional analysis must reduce
to differences in assumptions that we might usefully summarize here. Regarding
private enterprise we assume only that turnover rates are less than 100 percent,
that employer discretion over choice of technology and reward structure is greater
than zero, that employee characteristics are not totally unaffected by work conditions,
that employers' bargaining power is not totally independent of their employees'
individual and group characteristics, and that workers' preferences are not totally
exogenous. Regarding markets we assume only that some external effect is not completely
corrected and that consumer preferences are not totally exogenous. These assumptions
are sufficent to generate our conclusions. Of course, to the extent that any of
these assumptions is strengthened, the greater will be the cumulative divergence
from socially efficient uses of resources.
We hasten to point out that we do not assume noncompetitive market structures
or imperfect or asymmetric information, and that we confine ourselves to an equilibrium
analysis. In other words, we confine ourselves to what has long been the welfare
theoretic project of investigating the consequences of perfectly informed rational
individual behavior under the most favorable conditions imaginable for a particular
institutional context. 62
In less formal terms, our "double indictment" is far more sweeping. We find that
the cybernetic and role properties of markets can be expected to contribute toward
"snowballing individualism." We expect external effects to be pervasive rather
than exceptions to the rule. We judge the income flexibility of private enterprise
economies to be largely illusory for multiple reasons, not all of which had been
previously clarified. And we expect the degree of employer power consistent with
the preservation of real private enterprise economies to generate powerful impulses
toward racial and sexual antagonisms, apathy, and enmity-a far cry from the vision
of flexible efficiency machines!