A
Quiet Revolution in Welfare Economics- by Michael Albert and Robin Hahnel
Snowballing Nonoptimality. In an economy like that represented above, the degree of divergence from optimality as measured by divergence of relative supplies from the optimal production program will be greater than indicated by neoclassical welfare theory. Moreover, divergence from optimality will snowball as measured by discrepancies between actual and optimal quantities produced in successive time periods.
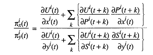
Our proof draws on the familiar marginal optimality conditions that the ratios
of all possible pairs of marginal social costs must be equal to the ratios of
their respective marginal social benefits.
30 But we will only need to examine two of the equalities:
1. One equating the ratio of the marginal social costs of production of x and Y with the ratio of the marginal social benefits of their consumption in an early time period, t.
2. The other equating the marginal social costs of production of z and a with the ratio of the marginal social benefits of their consumption in a later time period, (t+k).
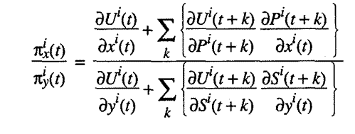
Theorem 6.6: Proof. Initially we charge a typical individual
i the "optimal" prices in all periods and deduce i's rational behavior.
31
Next we charge i the optimal prices for all goods in all periods, except
we charge i some amount in excess of the optimal price for good a in
period (t+k)
as stipulated in M 3. 11. We call these latter prices the "actual" prices charged
by our economy with a single bias. The question is, how will a typical individual,
i, adjust to this change
in relative prices. Once we deduce the nature of a rational adjustment for a
typical consumer, generalizing to changes in market demand and consequent changes
in market supplies and production is straightforward.
FIG. 6.2. PREFERENCE SHIFTS UNDER ENDOGENOUS PREFERENCES: FIVE
POSSIBILITIES
Will individual i simply reduce his or her demand for
a(t+k)
from ai(t+k)O
to ai(t+k)NC
moving back up his or her given demand curve for a(t+k)
as neoclassical (NC) theory
would predict? Or will i also change his or her preference and hence demand
curve for a(t+k)
by shifting consumption choices for y
(and hence S) and x
(and hence P) in earlier time
periods?
There are five possible adjustments an individual might make to respond to the
change in relative prices. To prove Theorem 6.6, we must demonstrate that four
of these are inconsistent with individual maximizing behavior whereas one is
consistent. An individual consumer might:
1. Lower individual demand for a(t+k)
to curve 2 and consume at ai(t+k)2.
We will demonstrate that this choice is consistent with individual maximizing
behavior.
2. Keep demand curve
1 and reduce consumption along this curve to ai(t+k)NC.
We will show this is inconsistent with individual maximizing behavior because
it violates the condition that the ratio of the marginal benefit of consuming
the last unit of x
to the marginal benefit of consuming the last unit of
y in period t to individual
i must be equal to the ratio of those two goods' relative prices
if i is to have maximized
individual fulfillment.
3. Raise individual demand for a(t+k)
to curve 3 and consume at ai(t+k)3.
We will demonstrate this is inconsistent with individual maximizing behavior
for the same reason as choice 2.
4. Raise individual demand for a(t+k)
to curve 4 and consume at ai(t+k)O.
We will demonstrate this is inconsistent with individual maximizing behavior
for the same reason as choices 2 and 3.
5. Raise individual demand for a(t+k)
to curve 5 and consume at ai(t+k)5
While this choice is the most obviously absurd, to demonstrate that it cannot
be an individual maximizing adjustment we must show this would imply that curve
1 and consumption ai(t+k)O
was not optimal for pia(t+k)O
so that choice 5 must be false by contradiction.
OPTION 1. Here we must show that individual i choosing to lower the personal demand curve for a(t+k) and raise the individual demand curve for z(t+k), and to consume relatively less of a(t+k) and relatively more of z(t+k) than neoclassical theory would predict is consistent with individual maximizing behavior. 32 With

to maximize individual well-being i must take steps to
ensure that

In option 1 we have

which under the assumption of declining marginal utilities could reestablish the necessary condition

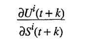
When we examine the second necessary condition

we observe that under option 1

since

so that the right side of condition (6.5) is greater than the left side under
adjustment option 1at the original price for x(t)
and y(t) and
the original quantities consumed. Since the prices of x(t)
and y(t)
have not been changed it follows that under option 1, to establish condition
(6.5), which is necessary for maximizing Wi
individual i must change
the proportions of x(t)
and y(t)
consumed. This is the only means of reestablishing condition (6.5) since changing
the preferences for these two goods themselves is ruled out by our assumption
that appreciation for x and y cannot be developed. Hence, under
option 1 the individual acts so
thereby

due to diminishing marginal utility and also

due to declining marginal productivity in developmental production functions.
Inspection reveals that these changes permit the reestablishing of equality
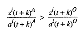
(6.5). But condition (6.7) implies that

for all ratios zi(t + k) / ai(t + k) since condition (6.7) implies that

This in turn means i
has shifted his or her individual demand curve
a(t + k) down-and individual demand curve for
z(t
+ k) up-which consistent with our characterization of adjustment
option 1.
OPTION 2. We must show that for individual i to retain the demand curves
for a(t + k) and z(t
+ k) that were optimal under the optimal price ratios the two goods
and simply move along them to consume the amount less a(t
+ k) and more of z(t
+ k) that neoclassical theory would predict inconsistent with individual
maximizing behavior if preferences are endogenous.
Under option 2 we know that

must be made equal to

by moving along the original individual demand curves. But this
means it must be less than the same ratio at the optimal price
which ratio is in turn just equal to:

But this again implies

Once again, if we go back and analyze condition (6.5) above, expression (6.6)
follows for option 2 just as it did for option 1. And this again means that
the necessary condition for individual maximizing behavior is not achieved by
the original choice of xi(t)O
/ yi(t)O. Under our assumption that the individual's
tastes for x(t)
and y(t) are unalterable,
the only conceivable way that condition (6.5) could be reestablished would be
for the individual to change the proportions in which
x(t) and y(t)
are consumed. But this contradicts the characterization of option
2 that individual i's demand curves for
z(t + k) and a(t
+ k) are not shifted, since any change in xi(t)
/ yi(t) implies a change in Pi(t
+ k) / Si(t + k) and, hence, a shift in the individual's
demand curves for zx(t
+ k) and ax(t+k).
Thus, option 2 cannot be made consistent with rational individual maximizing
behavior if preferences are endogenous.
OPTION 3. We next need to demonstrate that raising the individual's demand curve for a(t + k) and lowering the individual's demand curve for z(t + k), but not by so much that the individual does not still consume less a(t + k) and more z(t + k) than he or she did at the optimal price ratios is inconsistent with individual maximizing behavior.
Stipulation that under option 3 the individual reduces consumption of
a(t + k) and increases consumption of
z(t + k) gives:

And stipulation that under option 3 the individual raises the personal demand curve for a(t+k) and lowers the demand curve for z(t+k) implies:

However, the only way (6b) can occur is if:

But conditions (6.9a), (6.9b), and (6.9c) together imply that
condition (6.5)

necessary for maximization of individual well-being cannot be achieved since
all the partial derivatives and terms in the numerator of the right side of
the expression would be larger under option 3, and all the partial derivatives
and terms in the denominator of the right side of the expression would be smaller,
implying that the right side of condition (6.5) would be greater than the ratios
of the relative prices for x(t) and y(t). To see this, note that under option
3

due to declining marginal utilities. And

due to both declining marginal productivities of utility shifting
functions and the fact that the partial derivatives of utility functions with
respect to human characteristics are still positive functions of the amount
of goods the characteristics enhance enjoyment of. It follows that option 3
cannot be an individual maximizing adjustment.
OPTION 4. Next we must demonstrate that raising the individual's
demand curve for a(t+k)
and lowering the individual's demand curve for
z(t+k) so that the consumption of a(t+k)
and z(t+k)
remain exactly what they were under the optimal consumption at the optimal price
ratios is also inconsistent with individual maximizing behavior.
By stipulation of the nature of option 4, we have:

since other than the equality condition (6a'), this option is like option 3.
But (6.9a'), (6.9b), and (6.9c) also imply that the right side of expression
(6.5) must be greater than the left side. The only difference between option
4 and 3 is the assumed constancy of the consumption bundles in period
(t+k) under option 4. But

due to declining marginal utilities. And

due to declining marginal productivities of utility shifting functions and the
constancy of the consumption bundles in time period (t+k).
So option 4 cannot be an individual maximizing adjustment any more than option
3 could.
FIG. 6.3. PREFERENCE SHIFT UNDER ENDOGENOUS PREFERENCES POSSIBILITY NUMBER 5
OPTION 5.
Finally, we must demonstrate that raising the individual's demand
curve for a(t+k)
and lowering the individual's demand curve for
z(t+k)
so that consumption of a(t+k)
actually rises and consumption of
z(t+k)
actually falls in response to the change in relative prices making
a(t+k)
relatively more expensive and z(t+k)
relatively less expensive is inconsistent with individual maximizing
behavior. This option could be dismissed out of hand as intuitively ridiculous.
Yet, ironically, it proves the hardest option to formally eliminate.
Under option 5 we have

Here, we have eliminated from our earlier diagram all but the original optimal demand curve no. 1 for a(t+k) under the optimal price conditions and demand curve no. 5 that represents our individual's strategy under option 5. We have also added ai(t+k)6 as the consumption of a(t+k) that i would settle on if faced by the old optimal price were i saddled with demand function no. 5-a demand function that would presumably be individually nonoptimal under the optimal price.
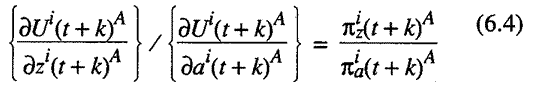
Suppose, against our hypothesis, that demand curve no. 5 not only preserves the late period marginal equality, condition (6.4), at consumption ai(t+k)5 for price ratio

but also preserves the early period equality, condition (6.5)

In other words, we assume option 5 is an individual maximizing strategy and
search for a contradiction.
Option 5 could only reestablish condition (6.5) if declines in

resulting from conditions (6.9b) and (6.9c) is exactly offset by the rise in

that comes as a result of condition (6.9a"), and if rises in

resulting from conditions (6.9b) and (6.9c) are exactly offset by the rise
in

that comes as a result of condition (6a").
But let us now examine demand curve no. 5 and consumption
ai(t+k)6 under the original, optimal
price conditions. Obviously, the late time period equality is satisfied with
demand curve no. 5 and consumption ai(t+k)6
for pia(t+k)O.
What would be the case for the early period equality, condition (6.5)?
Since we are operating with the same demand curve, no. 5, as is assumed to
be optimal under the new set of actual relative prices for a(t+k)
and z(t+k),
the declines in

must be the same as they were in the analysis above. But with

the rise in

must be greater with consumption bundle 6 than with consumption bundle 5,
and similarly the decline in

must be greater with consumption bundle 6 than with consumption bundle 5.
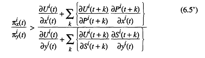
So if demand curve no. 5 and consumption bundle 5 left condition (6.5) an
equality, as we have assumed, then instead of yielding equality, evaluating
the same expression at demand curve no. 5 and consumption bundle 6 would yield:

To move back to the equality of condition (6.5) from the inequality of condition
(6.5'), individual i would have to reduce the amount of
xi(t) consumed and increase the amount of
yi(t)
consumed. But this shift necessarily decreases the ratio

even further than was the case that produced demand curve no. 5 and would
shift us to an even higher demand curve for
a(t+k) and an even lower demand curve for
z(t+k)than we had at the outset under option 5.
In other words, assuming that option 5 was optimal for the new set of relative
prices and analyzing what the situation would be under demand curve no. 5
and consumption bundle 6 yields the conclusion that one would have to move
even further out to the right in our diagram (Fig. 6.3) in search of the maximizing
individual demand curve for a(t+k) if our consumer were
to again face the optimal price ratios.
But this is the opposite direction from moving from demand curve no. 5 back
toward demand curve no. 1, which we assumed was optimal for the old price
ratios in the first place. Hence the assumption that option 5 is optimal for
the new price ratios has yielded the conclusion that the original optimal
demand curves were not optimal for the old price ratios. Since the old demand
curves were stipulated as optimal, this is a contradiction and establishes
the fact that option 5 cannot be an individual maximizing strategy under the
new price ratios for a(t+k)
and z(t+k).
Taken together, our demonstrations that
1. Option 1 - in which the individual shifts the personal demand curve for good a downward (and for good z upward) and reduces (increases) individual consumption of good a(z) by an even greater amount than neoclassical theory predicts-is compatible with the maximization of individual well-being under the new actual relative prices, and
2. Options 2 through 5 are not maximizing adjustments to a shift in relative prices from what we have called the optimal ratio of the prices of good z and good a in period (t+k) to the actual, (biased) price ratio for these goods in period (t+k),
complete our proof that option 1 is, in fact, what must take place under the assumption of endogenous preferences and rational behavior on the part of individual i. What remains, in order to finalize our proof of Theorem 6.6, is to extend our conclusion from a typical individual, i, to all individuals in the economy in order to examine the aggregate trends in demand, prices, and productions for x(t), y(t), z(t+k), and a(t+k).
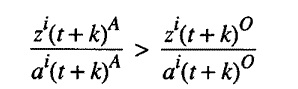
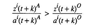
To summarize, we have found: If individual i is charged the optimal price for a(t+k) he or she will consume an amount equal to ai(t+k)O. If i's preferences were exogenous, as neoclassical theory presumes, he or she would respond to an overcharge for a(t+k) by moving back up the individual demand curve and consuming a lesser amount, ai(t+k)NC. But we have proved that if i's preferences are endogenous, the individual maximizing strategy is to shift the individual demand curve for a(t+k) back to the left and move back up this lower demand curve consuming a still smaller amount, ai(t+k)2. Summing over all individuals to derive market demands yields:

and analogously

where we have now indicated that ai(t+k)2 = ai(t+k)A, the actual demand i will exhibit when faced with the biased price
pia(t+k)A
if i maximizes and
analogously for z.
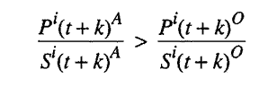
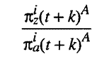
Since we have assumed the economy responds to market demands, the ratios of productions for a(t+k) and z(t+k) will satisfy

since the actual market demand for a(t+k)
under endogenous preferences will be lower than predicted by traditional
theory-and the actual market demand for z(t+k)
will be greater. Which finally establishes the first part
of Theorem 6.6: the degree of divergence from optimality as measured
by divergence of relative supplies from the optimal production program will
be greater than indicated by neoclassical welfare theory.
That the degree of divergence from the optimal supply program will snowball as time goes on follows directly from the fact that the more time periods one allows people to "develop" their preferences in response to overcharges, the more people will shift their demand curves down for the items for which they are overcharged relative to the items for which they are not overcharged. More precisely, under the optimal adjustment we found

which is what made the right side of the expression in condition (6.5) larger
than the left side until individual i
increases consumption of x(t)
and diminishes consumption of y(t).
But the more time periods there are, the more terms there are under the
summation sign in condition (6.5), and hence the need for ever larger adjustments
in x(t) / y(t).
In period 2, only k=1
is operative under the summation sign, but in period 3, k=1
and k=2
appear, etc. This establishes the second part of Theorem 6.6, namely that
not only will divergence exist, but it will snowball, as k
increases, or as time goes on, since ever greater adjustments in x(t)
/ y(t) for larger k
imply ever greater changes in P(t
+ k) / S(t + k), which yield ever greater shifts in demand curves
for a(t+k)
and z(t+k),
and hence, ever greater divergences in z(t+k)
/ a(t+k)
from optimal proportions as k increases.
Theorem 6.7, Proof. The proof of Theorem 6.7 is now trivial. First,
we remember what Theorem 6.7 says: in an economy that contains a bias in the
relative terms of supply of two economic activities: (1) individuals' human
development patterns will be "warped" in a manner that can be precisely defined,
and (2) warped human characteristics will "snowball" over time.
The first part of Theorem 6.7 follows from

which also defines "warped" human characteristics as distinct from "optimal"
human characteristics.
The second part of Theorem 6.7 was established previously as well. In the
last paragraph of the preceding section the argument establishing that the
degree of nonoptimality in allocations must snowball over time also demonstrated
that the degree of warping of individual human characteristics must snowball
over time.
Theorem
6.8, Proof. The task of proving Theorem 6.8 is equally
simple. Theorem 6.8 says: the full effects of the bias in the economy addressed
in Theorems 6.6 and 6.7 will be disguised to participants in the economy and
to analysts who view preferences as exogenous.
As we demonstrated above, neoclassical welfare theory, because it adopts an
exogenous view of preferences, fails to perceive the full effects of a bias
in the economy. If participants in the economy either adjust their preferences
unconsciously, and/or forget that they have done so after the fact and judge
satisfaction at any time only in terms of their instantaneous preferences,
they will suffer under the same delusion that plagues traditional welfare
theorists. If participants do not envision, or forget there were alternative
development trajectories and the alternative preferences they would have generated,
they will underestimate the loss of potential wellbeing resulting from the
bias in the economy in conjunction with their individually rational responses
to that bias.
Logic and Implications of Theorems 6.6, 6.7, and 6.8.
The logic of the above proofs and extrapolation to broader implications is straightforward. With perfect foresight individuals will see the bias in the relative conditions of availability of activities they will face in the future. Recognizing the possibility to manipulate their preferences away from desiring activities for which they will be overcharged and toward activities for which they will not be overcharged, rational individuals will take into account "preference development" as well as "preference fulfillment" effects of present activity choices. By doing so they select present activities that tend to generate future human characteristics that in turn support instantaneous future preference structures that permit them to attain greater future satisfaction than had they not "adjusted" their human characteristic trajectories.
But the effect of all individuals making these adjustments is to shift the future market demand curve downward for activities for which individuals are overcharged. When faced with a higher price, rational individuals will lower the quantity demanded to some extent simply by moving along their initial demand curve. 33 But when afforded the opportunity to shift their future demand curve as well, rational individuals with endogenous preferences will avail themselves of a second means of adjusting to new conditions of availability.
In an economy in which production responds to market demand, this implies the production of goods for which individuals are overcharged will be even less than had individuals not adjusted their preferences. As a result the misallocation, which would have occurred in any event due to the overcharge, is aggravated by the process of rational individual adjustment. People "mold" themselves to better cope with a bias in the economy, but the collective result is to move society farther away from the optimal production program than it would have been had people not engaged in individually rational preference adjustments.
Economists have long been intrigued by the question of whether or not "individual
rationality" in particular circumstances coincides with "social rationality"
formulated as Pareto optimal outcomes. Adam Smith believed he had identified
an "invisible hand" in the competitive market mechanism. E. K. Hunt found
an "invisible foot" in the same institution. Traditional theorists claim private
production for profit guarantees technical efficiency, whereas adherents of
the "conflict school" argue private profits conflict with the social goal
of technical efficiency. We will continue to explore these and others claims
and counterclaims regarding the coincidence of individual rationality and
social rationality in part 3. But it bears noting here that theorems 6.6,
6.7, and 6.8 pose another example of a conflict between individual and social
rationality, different from all others we will treat: in any circumstances
in which a bias exists in the conditions of availability of different economic
activities, if people's preferences are endogenous individually rational "preference
development" works at counter purposes to social rationality.
It is appropriate to call the individual adjustment process "self-warping"
even though we recognize it to be individually "rational." While any individual
who does not make preference adjustments to economy biases is irrational in
the sense of failing to maximize personal well-being under the specific circumstances
faced, the adjustments are self-warping in the sense that they diverge from
the optimal human development trajectory.
The conclusion that the divergence from the optimal production program and "rational self-warping" "snowball" over time follows directly. The more time people have to adjust, the greater their adjustments will be. When we increase t by one period, we add one more period during which individuals can engage in activities that have "preference development effects," thereby increasing the degree to which they will adjust their demands.
That the "snowballing" nonoptimality may become disguised to those whose
actions produce it, results from the fact that people's actual, perceived
preferences in later time periods do not highly value what is undersupplied
and instead emphasize what is relatively plentiful. In other words, things
look good from inside the system because people are getting what they want
according to their instantaneous preference orderings. So to the extent that
preference development is an unconscious reaction, or that people forget what
they did to arrive at instantaneous preferences conforming to economic conditions,
the inefficiencies in the economy can become invisible to its inhabitants.
Moreover, things look just as good to any outside analyst who bases judgments
on those same instantaneous preferences and, of course, this is just what
traditional welfare theorists do by treating preferences as exogenous. Unfortunately,
the rosy neoclassical picture is a deception that hides losses of potential
satisfaction from all who fail to recognize that participants' preferences
are endogenous, as Theorem 6.6 demonstrates.
Finally, we point out we did not assume that the good for which individuals
were overcharged had any developmental effects itself.
34 In other words, good "a"
was not assumed to be a good like 'x'
or "y." It would
not appear implausible to conjecture that the consumption of goods in early
time periods would develop preferences for those same goods in later time
periods, so that "a-type"
goods would also be "y-type
goods," and "z-type"
goods would also be "x-type"
goods. In this case the snowballing nonoptimality would obviously be even
greater.
Conclusion. So what is the answer? Do endogenous
preferences "matter" in a substantive rather than technical sense? The answer
is: yes, they do matter in ways that are by no means only technical and of
interest only to economic theorists. But they do not matter in the way previous
critics suspected.
Any economy that contains no bias in the conditions upon which it makes different
economic activities available to its inhabitants will generate socially efficient
outcomes if people's preferences are endogenous-just as it would if people's
preferences were exogenous (Theorem 6.4). Moreover, if the economy was "flexible"
regarding equity under the assumption of exogenous preferences, it will remain
so under the assumption of endogenous preferences (Theorem 6.5).
35 Concerns to the contrary are ill-founded.
But this does not mean endogenous preferences are of no consequence to welfare
theory. To the extent preferences are endogenous, any economy that contains
a bias in the conditions upon which it makes different economic activities
available to its inhabitants will generate a greater degree of inefficiency
than supposed under the assumption of exogenous preferences. Moreover, this
greater than previously recognized inefficiency will snowball over time (Theorem
6.6). Thus, analysis of the effects of endogenous preferences reveals an entirely
new way in which "individual rationality" can be counterproductive to "social
rationality." In any circumstances in which a bias exists, rational individual
adjustment to the bias will rebound to aggravate the bias and result in ever-increasing
losses of potential wellbeing. In these circumstances, individually rational
adjustment is actually "self-warping" because it results in losses of potential
individual well-being and greater social inefficiency than would have obtained
otherwise (Theorem 6.7). But the very process of individually rational adjustment,
or self-warping, may be socially stabilizing if it is unconscious or forgotten,
since in this case it disguises any bias in the economy from the system's
inhabitants who only come to see themselves getting what they want Theorem
6.8).
Moreover, endogenous preferences "matter" to positive economic theory as well. The logic of individually rational preference development provides a mechanism by which characteristics of an economic institutional "boundary" influence the "human center" it "surrounds." In this capacity, endogenous preferences are the conceptual key to developing a rigorous "qualitative" economic theory capable of explaining outcomes hitherto taken as given. Our treatment reveals an important mechanism whereby characteristics of the human center are brought into conformity with characteristics of the institutional boundary, the process we call "rational self-warping."
In the broader sense, endogenous preferences are a critical concept to treating what sociological theorists have called the "structure agent dichotomy." What is the relationship between social structures and individual agents within them? Should "agents" or "structures" be taken as primary? By adopting an "either/or" answer to this question sociologists have frequently divided into conflicting schools, in our view unnecessarily. Our treatment of endogenous preferences in this book is fully consistent with the views so eloquently expressed by Anthony Giddens on this subject: neither individual agents nor social structures can be taken as primary for all purposes. We have just demonstrated how economic "structures," by creating a bias in the conditions of relative supply, can lead individual agents to "self-warp" their characteristic development trajectory precisely through rational individual action. Moreover, the effect of agents doing so aggravates the institutional bias. Each has molded the other. Each exists only in the context of the other.
Regarding history in the larger sense one might pose two different research paradigms:
(1) conceive of history as the result of placing people in some sort of "original position'~--which presumably would be more Nozickian than Rawlsian-in which they agree to an initial set of institutional structures and analyze the "predictable" consequences that would unfold from there;
(2) start from a given set of institutional structures and individual characteristics that are presumed to correspond roughly to actual historical conditions somewhere at some point, and from there analyze the "predictable" consequences that would unfold.
Only the first research paradigm could be said to treat individual "agents" as primary. Since this first research paradigm seems patently ridiculous to us, we prefer Giddens conceptualization and think endogenous preferences has much to contribute. What is most noteworthy about the above theorems from a welfare theoretic perspective is they do not assume anything in particular about what are more or less desirable human characteristics or what preference structures are more or less capable of yielding fulfillment. Of course, we have not yet proved anything with respect to particular institutional structures, but in part 3 we will show that even without judging any one set of characteristics and preferences better than another, one can derive interesting critical results regarding all major, known economic institutions. In this sense, what we have just demonstrated and much of what we will demonstrate in the remainder of this book follows the usual economic tradition of avoiding unresolved philosophical debates.
Even though a well-executed "end run" can be aesthetically pleasing, there
is something disturbing about always shying away from a "plunge up the middle."
As soon as it becomes apparent that economic institutions affect the pattern
of human development, is it not clear we must eventually grapple with the
difficult question of what kind of people we would like to become? Of course,
it is possible to take the ostrich approach and ignore the issue from fear
that it is intractible-as traditional theory has long done. Or we can fashion
an end run around judging human development trajectories much as flexibility
theorems permit an end run around controversial equity issues-as we have begun
to elaborate and will complete in part 3.
Since we find this evasive strategy only partially satisfying, we favor a
"twopronged" welfare theory. Having put together the blocking patterns (Theorems
6.1 through 6.8) for an end run to be "executed" in part 3, we now turn to
developing blocking patterns for a plunge up the middle. What are the thorny
problems in judging human development trajectories? What different approaches
are possible? What lessons are to be learned?